- 您的位置:
- 标准下载网 >>
- 标准分类 >>
- 机械行业标准(JB) >>
- JB/T 7254-1994 无级变速摆线针轮减速机
标准号:
JB/T 7254-1994
标准名称:
无级变速摆线针轮减速机
标准类别:
机械行业标准(JB)
英文名称:
Continuously variable speed cycloid reducer标准状态:
现行-
发布日期:
1994-07-18 -
实施日期:
1995-07-01 出版语种:
简体中文下载格式:
.rar.pdf下载大小:
8.42 MB
中标分类号:
机械>>通用零部件>>J19联轴器、制动器与变速器
点击下载
标准简介:
标准下载解压密码:www.bzxz.net
本标准规定了无级变速摆线针轮减速机的型号和基本参数、技术要求、试验方法、检验规则及标志、包装和贮运的一般要求。 本标准适用于多盘式无级变速器和单级摆线针轮减速机串联组成的无级变速摆线针轮减速机。 JB/T 7254-1994 无级变速摆线针轮减速机 JB/T7254-1994
部分标准内容:
中华人民共和国机械行业标准
无级变速摆线针轮减速机
主题内容与适用范围
JB/T7254-94
本标准规定了无级变速摆线针轮减速机的型号和基本参数,技术要求,试验方法,检验规则及标志、包装和贮运的一般要求。
本标准适用于多盘式无级变速器(以下简称变速器)和单级摆线针轮减速机(以下简称减速机)串联组成的无级变速摆线针轮减速机(以下简称变减速机)。2引用标准
GB2828
逐批检查计数抽样程序及抽样表(适用于连续批的检查)GB6388
运输包装收发货标志
渐开线圆柱齿轮精度
GB10095
GB/T13306标牌
GB/T13385
包装图样要求
JB/T2982
JB/T7346
3分类
摆线针轮减速机
机械无级变速器试验方法
3.1普通型:由一级变速器和单级减速机申联组成的变减速机型号.其机械特性分恒功率型和恒转矩型。
3.2大变速范围型:由二级变速器和单级减速机串联组成的变减速机型号,其机械特性介于恒功率和恒转矩特性之间。
4型号和基本参数
4.1型号
型式由产品代号、机型号、变速级数、机械特性、安装型式、输人功率、减速机机型号和传动比等组成。
4.1.1产品代号
变减速机的产品代号用\PZ”表示。4.1.2机型号
a.普通型用阿拉伯数字1、2、3、4、5、6、7、8表示;b.大变速范围型用阿拉伯数字1、2、3表示。4.1.3变速级数
普通型不表示:
大变速范围型用\S\表示。
4.1.4机械特性
中华人民共和国机械工业部1994-07-18批准496
1995-07-01实施
JB/T725494
a.普通型恒功率型用“G\表示;恒转矩型不表示;b.大变速范围型不表示。
4.1.5安装型式
W为双轴型,卧式安装;
WD为电动机直联型.卧式安装;
LD为电动机直联型,立式安装。4.1.6标记方法
标准代号
传动比
减速机机型号
输入功率(恒转矩型为高速时输入功率),kW安装型式
机械特性
变速级数
机型号
产品代号
标记示例
4号机型双轴型卧式安装的普通型变减速机.输人功率为4kW,恒功率输出.与6号A型传动a.
比为29的减速机相联.其标记为:PZ4GW4-6A-29JB/T7254
b.2号机型电动机直联型,卧式安装的大变速范围型变减速机.输人功率为2.2kW,与5号B型传动比为17的减速机相联,其标记为:PZ2SWD2.2-5B-17JB/T 7254
4.2基本参数
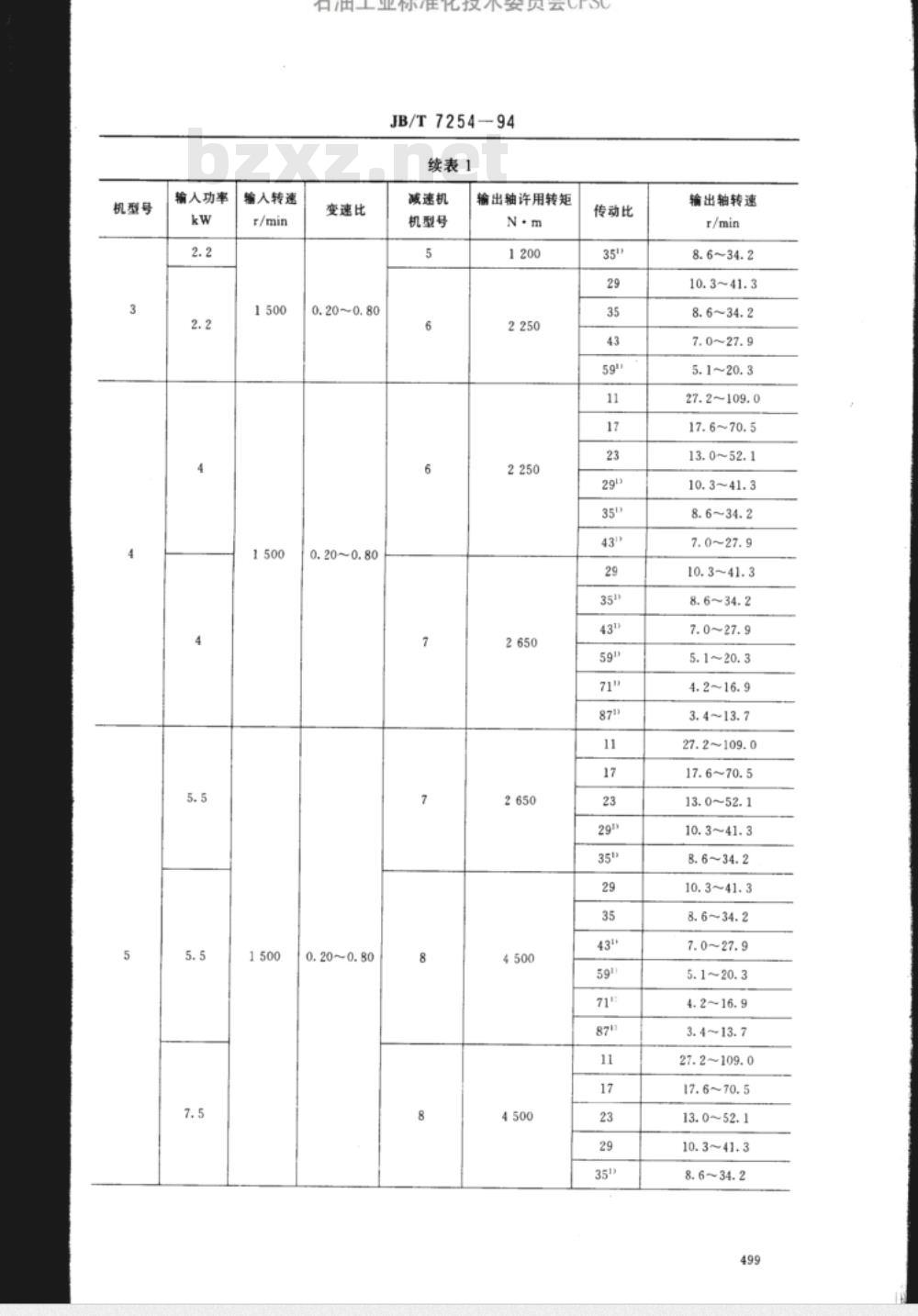
普通型恒功率型,恒转矩型和大变速范围型变减速机的基本参数分别见表1、表2和表3。表1恒功率型变减速机的基本参数机型号
输人功率
输人转速
变速比
0.20~0.80
0.23~0.76
减速机
机型号
输出轴许用转矩
传动比
石油工业标准化技术委员会CPSC输出轴转速
27.2~109.0
17.6~70.5
13.0~52.1
10.3~41.3
31.3~103.6
20.3~67.0
15.0~49.0
机型号
输人功率
输人转速
变速比
0.23~0.76
0.20~0.80
JB/T7254—94
续表1
减速机
机型号
贝云C
输出轴许用转矩
传动比
输出轴转连
31.3~103.6
20.3~67.0
15.0~49. 0
11.9~39.3
15. 049. 0
11.9~39.3
27.2~109.0
17.6~70.5
13.0~52.1
10.3~41.3
7. 0~27. 9
3. 4~13. 7
4.2~16. 9
27.2~109. 0
17. 6~76. 5
13.0~52.1
10.3~41.3
机型号
输人功率
输人转速
变速比
0.20~0.80
0.20~0.80
0.20~0.B0
JB/T725494
续表1
减速机
机型号
输出轴许用转矩
传动比
输出轴转速
10.3~41.3
27.2~109.0
17.6~70.5
13.0~52.1
10.3~41.3
10.3~41.3
27.2~109.0
17.6~70.5
13.0~52.1
10.3~41.3
10.3~41.3
27.2~109.0
17.6~70.5
13.0~52.1
10.3~41.3
机型号
输人功率
输人转速
变速比
0.28~1.12
0.27~1.08
JB/T7254—94
续表1
减速机
机型号
辅出轴许用转矩
11 700
11 700
21 500
11 700
21 500
传动比
输出轴转速
25.4~101.8
16.4~65.8
12.1~48. 6
4.7~18. 9
24.5~98.1
15.9~63.5
11.7~46. 9
24.5~98.1
15.9~63.5
11.7~46.9
机型号
输人功率
输入转速
变速比
0.31~1.24
JB/T725494
续表1
减速机
机型号
输出轴许用转矩
传动比
输出轴转速
13.6~54.7
10.1~40.3此内容来自标准下载网
5.4~21. 6
注:1》表示采用该传动比时输人功率大于变减速机的设计功率,变减速机应在输出轴许用转矩范图内使用或设有过载保护装置。
表2恒转矩型变减速机的基本参数输人功率
机型号
输人转速
变速比
0.23~0.76
减速机
机型号
输出轴许用转矩
传动比
输出轴转速
27.2~109.0
17.6~70.5
13.0~52.1
10.3~41.3
27.2~109.0
17.6~70.5
13.0~52.1
10.3~41.3
7. 0~27.9
31.3~103.6
20.3~67.0
15.0~49.5
机型号
输人功率
输人转速
JB/T7254—94
续表2
减速机
变速比
0.23~0.76
0.20~0.80
机型号
输出轴许用转矩
传动比
输出轴转速
31.3~103.6
20.3~67.0
15.0~49.5
11.9~39.3
15.0~49.5
11.9~39.3
27.2~109.0
17.6~70.5
13.0~52.1
10.3~41.3
27.2~109.0
17.6~70.5
13.0~52.1
10.3~41.3
机型号
输人功率
输人转速
业小在
JB/T725494
续表2
减速机
变速比
0.20~0.80
0.20~0.80
0.28~1.12
机型号
输出轴许用转矩
传动比
输出轴转速
27.2~109.0
17.6~70.5
13.0~52.1
10.3~41.3
27.2~109.0
17.6~70.5
13.0~52.1
10.3~41.3
13.0~52.1
10.3~41.3
25.4~101.8
16.4~65.8
12.1~48.6
机型号
输人功率
输人转速
JB/T7254—94
续表2
减速机
变速比
0.28~1.12
6.27~1.08
0.31~1.24
机型号
输出轴许用转矩
11 700
传动比
输出轴转速
24.5~98.1
15.9~63.5
11.7~46.9
4. 6~18. 3
13.6~54.7
10.1~40.3
机型号
输入功率
输人转速
JB/T7254—94
续表2
减速机
变速比
机型号
0.31~1.24
输出轴许用转矩
29 400
传动比
输出轴转速
3.3~13. 0
13.6~54.7
10.1~40.3
13.6~54.7
10.1~40.3
注:1)表示采用该传动比时.输人功率大于变减速机的设计功率,变减速机应在输出轴许用转矩范围内使用或设有过载保护装置。
表3大变速范围型变减速机的基本参数输人功率
机型号
输人转速
变速比
0.07~0.70
减速机
机型号
输出轴许用转矩
传动比
输出轴转速
4.6~45. 6
机型号
输人功率
输入转速
JB/T7254-94
续表3
减速机
变速比
0.06~0.72
机型号
输出轴许用转矩
传动比
输出轴转速
小提示:此标准内容仅展示完整标准里的部分截取内容,若需要完整标准请到上方自行免费下载完整标准文档。
无级变速摆线针轮减速机
主题内容与适用范围
JB/T7254-94
本标准规定了无级变速摆线针轮减速机的型号和基本参数,技术要求,试验方法,检验规则及标志、包装和贮运的一般要求。
本标准适用于多盘式无级变速器(以下简称变速器)和单级摆线针轮减速机(以下简称减速机)串联组成的无级变速摆线针轮减速机(以下简称变减速机)。2引用标准
GB2828
逐批检查计数抽样程序及抽样表(适用于连续批的检查)GB6388
运输包装收发货标志
渐开线圆柱齿轮精度
GB10095
GB/T13306标牌
GB/T13385
包装图样要求
JB/T2982
JB/T7346
3分类
摆线针轮减速机
机械无级变速器试验方法
3.1普通型:由一级变速器和单级减速机申联组成的变减速机型号.其机械特性分恒功率型和恒转矩型。
3.2大变速范围型:由二级变速器和单级减速机串联组成的变减速机型号,其机械特性介于恒功率和恒转矩特性之间。
4型号和基本参数
4.1型号
型式由产品代号、机型号、变速级数、机械特性、安装型式、输人功率、减速机机型号和传动比等组成。
4.1.1产品代号
变减速机的产品代号用\PZ”表示。4.1.2机型号
a.普通型用阿拉伯数字1、2、3、4、5、6、7、8表示;b.大变速范围型用阿拉伯数字1、2、3表示。4.1.3变速级数
普通型不表示:
大变速范围型用\S\表示。
4.1.4机械特性
中华人民共和国机械工业部1994-07-18批准496
1995-07-01实施
JB/T725494
a.普通型恒功率型用“G\表示;恒转矩型不表示;b.大变速范围型不表示。
4.1.5安装型式
W为双轴型,卧式安装;
WD为电动机直联型.卧式安装;
LD为电动机直联型,立式安装。4.1.6标记方法
标准代号
传动比
减速机机型号
输入功率(恒转矩型为高速时输入功率),kW安装型式
机械特性
变速级数
机型号
产品代号
标记示例
4号机型双轴型卧式安装的普通型变减速机.输人功率为4kW,恒功率输出.与6号A型传动a.
比为29的减速机相联.其标记为:PZ4GW4-6A-29JB/T7254
b.2号机型电动机直联型,卧式安装的大变速范围型变减速机.输人功率为2.2kW,与5号B型传动比为17的减速机相联,其标记为:PZ2SWD2.2-5B-17JB/T 7254
4.2基本参数
普通型恒功率型,恒转矩型和大变速范围型变减速机的基本参数分别见表1、表2和表3。表1恒功率型变减速机的基本参数机型号
输人功率
输人转速
变速比
0.20~0.80
0.23~0.76
减速机
机型号
输出轴许用转矩
传动比
石油工业标准化技术委员会CPSC输出轴转速
27.2~109.0
17.6~70.5
13.0~52.1
10.3~41.3
31.3~103.6
20.3~67.0
15.0~49.0
机型号
输人功率
输人转速
变速比
0.23~0.76
0.20~0.80
JB/T7254—94
续表1
减速机
机型号
贝云C
输出轴许用转矩
传动比
输出轴转连
31.3~103.6
20.3~67.0
15.0~49. 0
11.9~39.3
15. 049. 0
11.9~39.3
27.2~109.0
17.6~70.5
13.0~52.1
10.3~41.3
7. 0~27. 9
3. 4~13. 7
4.2~16. 9
27.2~109. 0
17. 6~76. 5
13.0~52.1
10.3~41.3
机型号
输人功率
输人转速
变速比
0.20~0.80
0.20~0.80
0.20~0.B0
JB/T725494
续表1
减速机
机型号
输出轴许用转矩
传动比
输出轴转速
10.3~41.3
27.2~109.0
17.6~70.5
13.0~52.1
10.3~41.3
10.3~41.3
27.2~109.0
17.6~70.5
13.0~52.1
10.3~41.3
10.3~41.3
27.2~109.0
17.6~70.5
13.0~52.1
10.3~41.3
机型号
输人功率
输人转速
变速比
0.28~1.12
0.27~1.08
JB/T7254—94
续表1
减速机
机型号
辅出轴许用转矩
11 700
11 700
21 500
11 700
21 500
传动比
输出轴转速
25.4~101.8
16.4~65.8
12.1~48. 6
4.7~18. 9
24.5~98.1
15.9~63.5
11.7~46. 9
24.5~98.1
15.9~63.5
11.7~46.9
机型号
输人功率
输入转速
变速比
0.31~1.24
JB/T725494
续表1
减速机
机型号
输出轴许用转矩
传动比
输出轴转速
13.6~54.7
10.1~40.3此内容来自标准下载网
5.4~21. 6
注:1》表示采用该传动比时输人功率大于变减速机的设计功率,变减速机应在输出轴许用转矩范图内使用或设有过载保护装置。
表2恒转矩型变减速机的基本参数输人功率
机型号
输人转速
变速比
0.23~0.76
减速机
机型号
输出轴许用转矩
传动比
输出轴转速
27.2~109.0
17.6~70.5
13.0~52.1
10.3~41.3
27.2~109.0
17.6~70.5
13.0~52.1
10.3~41.3
7. 0~27.9
31.3~103.6
20.3~67.0
15.0~49.5
机型号
输人功率
输人转速
JB/T7254—94
续表2
减速机
变速比
0.23~0.76
0.20~0.80
机型号
输出轴许用转矩
传动比
输出轴转速
31.3~103.6
20.3~67.0
15.0~49.5
11.9~39.3
15.0~49.5
11.9~39.3
27.2~109.0
17.6~70.5
13.0~52.1
10.3~41.3
27.2~109.0
17.6~70.5
13.0~52.1
10.3~41.3
机型号
输人功率
输人转速
业小在
JB/T725494
续表2
减速机
变速比
0.20~0.80
0.20~0.80
0.28~1.12
机型号
输出轴许用转矩
传动比
输出轴转速
27.2~109.0
17.6~70.5
13.0~52.1
10.3~41.3
27.2~109.0
17.6~70.5
13.0~52.1
10.3~41.3
13.0~52.1
10.3~41.3
25.4~101.8
16.4~65.8
12.1~48.6
机型号
输人功率
输人转速
JB/T7254—94
续表2
减速机
变速比
0.28~1.12
6.27~1.08
0.31~1.24
机型号
输出轴许用转矩
11 700
传动比
输出轴转速
24.5~98.1
15.9~63.5
11.7~46.9
4. 6~18. 3
13.6~54.7
10.1~40.3
机型号
输入功率
输人转速
JB/T7254—94
续表2
减速机
变速比
机型号
0.31~1.24
输出轴许用转矩
29 400
传动比
输出轴转速
3.3~13. 0
13.6~54.7
10.1~40.3
13.6~54.7
10.1~40.3
注:1)表示采用该传动比时.输人功率大于变减速机的设计功率,变减速机应在输出轴许用转矩范围内使用或设有过载保护装置。
表3大变速范围型变减速机的基本参数输人功率
机型号
输人转速
变速比
0.07~0.70
减速机
机型号
输出轴许用转矩
传动比
输出轴转速
4.6~45. 6
机型号
输人功率
输入转速
JB/T7254-94
续表3
减速机
变速比
0.06~0.72
机型号
输出轴许用转矩
传动比
输出轴转速
小提示:此标准内容仅展示完整标准里的部分截取内容,若需要完整标准请到上方自行免费下载完整标准文档。
标准图片预览:





- 其它标准
- 热门标准
- 机械行业标准(JB)
- JB/T9396-1999 环块磨损试验机 技术条件
- JB/T5389.1-1995 滚动轴承 轧机用四列圆柱滚子轴承
- JB/T7732.1-1995 地膜覆盖机 技术条件
- JB/T7422.2-1999 立式内圆珩磨机 精度检验
- JB/T7665-1995 通用机械噪声声功率级现场测定 声强法
- JB/T9272-1999 氨压力表
- JB/T7273.8-1994 背面波纹手轮
- JB/T5810-1991 电机磁极线圈及磁场绕组匝间绝缘试验规范
- JB/T450-1992 PN16.0~32.0MPa锻造角式高压阀门、管件、紧固件 技术条件
- JB/T6664.2-1993 自吸泵 技术条件
- JB/T8022.1-1999 机床夹具零件及部件 内涨器
- JB/T9014.7-1999 连续输送设备 散粒物料 堆积角的测定
- JB/T9541-1999 家用换气扇用电动机 通用技术条件
- JB/T9902.1-1999 连杆瓦镗床 精度检验
- JB/T9991-1999 电镀金刚石铰刀
- 行业新闻
请牢记:“bzxz.net”即是“标准下载”四个汉字汉语拼音首字母与国际顶级域名“.net”的组合。 ©2025 标准下载网 www.bzxz.net 本站邮件:bzxznet@163.com
网站备案号:湘ICP备2025141790号-2
网站备案号:湘ICP备2025141790号-2