- 您的位置:
- 标准下载网 >>
- 标准分类 >>
- 机械行业标准(JB) >>
- JB/T 5992.9-1992 机械制造工艺方法分类与代码 装配与包装
标准号:
JB/T 5992.9-1992
标准名称:
机械制造工艺方法分类与代码 装配与包装
标准类别:
机械行业标准(JB)
英文名称:
Classification and Code of Mechanical Manufacturing Process Methods Assembly and Packaging标准状态:
现行-
发布日期:
1992-07-17 -
实施日期:
1993-07-01 出版语种:
简体中文下载格式:
.rar.pdf下载大小:
58.17 KB

点击下载
标准简介:
标准下载解压密码:www.bzxz.net
本标准规定了装配与包装工艺方法的小类与细分类的划分及其代码。 JB/T 5992.9-1992 机械制造工艺方法分类与代码 装配与包装 JB/T5992.9-1992

部分标准内容:
中华人民共和国机械行业标准
JB/T5992.1~5992.1092
机械制造工艺方法分类与代码
1992-07-17发布
中华人民共和国机械电子工业部1993-07-01实施
中华人民共和国机械行业标准
机械制造工艺方法分类与代码装配与包装主题内容与适用范围
本标准规定了装配与包装大类工艺方法的小类与细分类的划分及代码。本标准适用于机械制造业中计算机辅助工艺管理和工艺设计。本标准规定的代码不适用于在图样上标注。2引用标准
GB4863
GB4122wwW.bzxz.Net
机械制造工艺基本术语
包装通用术语
JB/T5992.1
机械制造工艺方法分类与代码总则3分类原则
3.1大类和中类的划分
大类和中类的划分按JB/T5992.1的规定。3.2小类的划分
装配小类按装配对象划分,
试验与检验小类按试验.检验划分。3.2.2
3.2.3包装小类按内.外包装划分,3.3细分类的划分
装配的细分类按达到装配精度的方法划分。3.3.1:
试验的细分类按试验目的划分,检验的细分类按检验对象和检验方案等划分。包装的细分类按防护类型和包装容器类型划分,3.3.4
装配与包装小类的划分及代码
装配与包装小类的划分及代码按表1的规定,表1
类代码
中类名称
试验与检验
部件装配
内包装
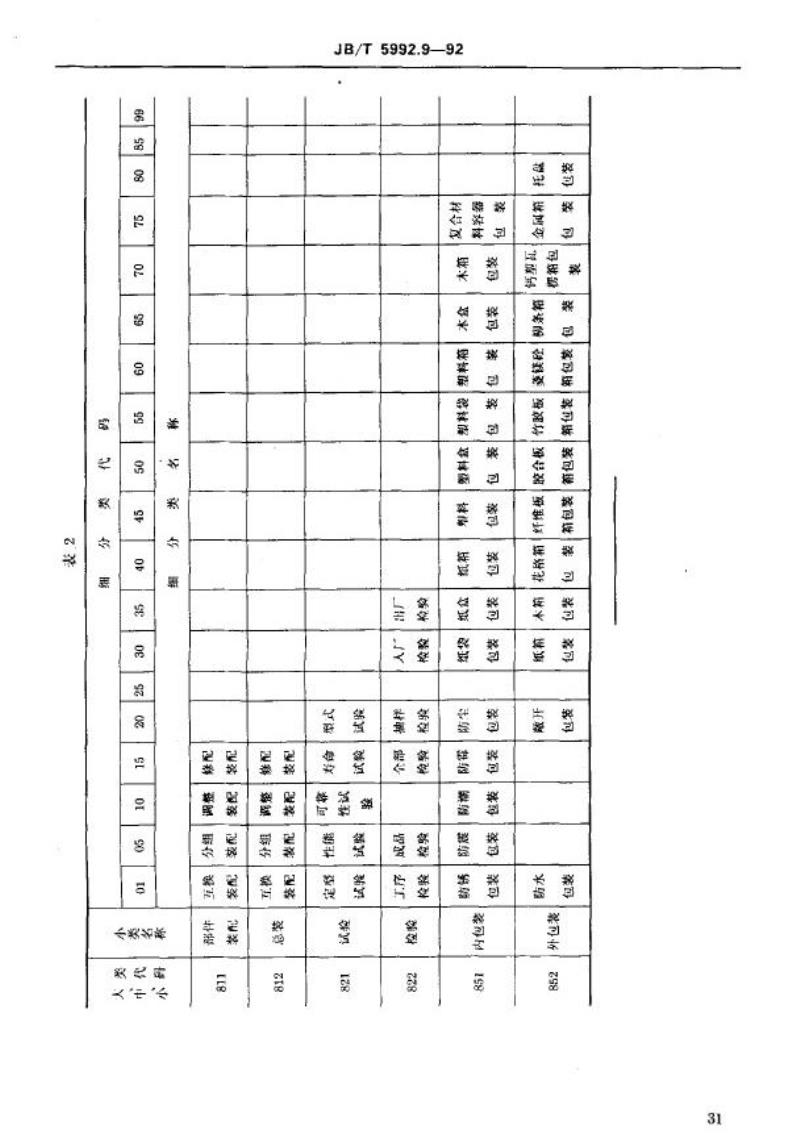
装配与包装细分类的划分及代码2
外包装
装配与包装细分类的划分及代码按表2的规定,机械电子工业部1992-07-17批准30
JB/T5992.992
1993-07-01实施
JB/T5992.9—92
深再膜
装母摄
器炫体
游体保
小类名称
大市小
翼代哥
小提示:此标准内容仅展示完整标准里的部分截取内容,若需要完整标准请到上方自行免费下载完整标准文档。
JB/T5992.1~5992.1092
机械制造工艺方法分类与代码
1992-07-17发布
中华人民共和国机械电子工业部1993-07-01实施
中华人民共和国机械行业标准
机械制造工艺方法分类与代码装配与包装主题内容与适用范围
本标准规定了装配与包装大类工艺方法的小类与细分类的划分及代码。本标准适用于机械制造业中计算机辅助工艺管理和工艺设计。本标准规定的代码不适用于在图样上标注。2引用标准
GB4863
GB4122wwW.bzxz.Net
机械制造工艺基本术语
包装通用术语
JB/T5992.1
机械制造工艺方法分类与代码总则3分类原则
3.1大类和中类的划分
大类和中类的划分按JB/T5992.1的规定。3.2小类的划分
装配小类按装配对象划分,
试验与检验小类按试验.检验划分。3.2.2
3.2.3包装小类按内.外包装划分,3.3细分类的划分
装配的细分类按达到装配精度的方法划分。3.3.1:
试验的细分类按试验目的划分,检验的细分类按检验对象和检验方案等划分。包装的细分类按防护类型和包装容器类型划分,3.3.4
装配与包装小类的划分及代码
装配与包装小类的划分及代码按表1的规定,表1
类代码
中类名称
试验与检验
部件装配
内包装
装配与包装细分类的划分及代码2
外包装
装配与包装细分类的划分及代码按表2的规定,机械电子工业部1992-07-17批准30
JB/T5992.992
1993-07-01实施
JB/T5992.9—92
深再膜
装母摄
器炫体
游体保
小类名称
大市小
翼代哥
小提示:此标准内容仅展示完整标准里的部分截取内容,若需要完整标准请到上方自行免费下载完整标准文档。

标准图片预览:



- 热门标准
- 机械行业标准(JB)
- JB/T6882-2006 泵可靠性验证试验
- JB/T10398-2004 离网型风力发电系统售后技术服务规范
- JB/T9592.2-1999 全金属12角法兰面锁紧螺母 技术条件
- JB/T4718-1992 管壳式换热器用金属包垫片
- JB/T2436.1-1992 导线用铜压接端头 第一部分: 0.5~6.0mm2导线用铜压接端头
- JB8734.2-1998 额定电压 450/750V及以下聚氯乙烯绝缘电缆电线和软线第2部分: 固定布线用电缆电线
- JB/T10325-2002 锅炉除氧器 技术条件
- JB/T10187-2011 滚动轴承 深沟球轴承振动
- JB/T7991.4-2001 电镀超硬磨料制品 磨头
- JB2901-2020 汽轮机防锈技术条件
- JB/T8854.2-2001 GⅡCL型、GⅡCLZ型鼓形齿式联轴器
- JBJ10-1996 机械工厂采暖通风与空气调节设计规范
- JB/T8103.7-2008 碟式分离机 第7部分:酵母分离机
- JB/T2740-2008 工业机械电气设备 电气图、图解和表的绘制
- JB/T6313.2-1992 电工铜编织线 斜纹编织线
- 行业新闻
请牢记:“bzxz.net”即是“标准下载”四个汉字汉语拼音首字母与国际顶级域名“.net”的组合。 ©2009 标准下载网 www.bzxz.net 本站邮件:bzxznet@163.com
网站备案号:湘ICP备2023016450号-1
网站备案号:湘ICP备2023016450号-1