- 您的位置:
- 标准下载网 >>
- 标准分类 >>
- 国家标准(GB) >>
- GB/T 38987-2020 硬质合金螺旋孔棒材
标准号:
GB/T 38987-2020
标准名称:
硬质合金螺旋孔棒材
标准类别:
国家标准(GB)
标准状态:
现行出版语种:
简体中文下载格式:
.zip .pdf下载大小:
623.19 KB
点击下载
标准简介:
GB/T 38987-2020.Cemented carbide rods with helical coolant holes.
1范围
GB/T 38987规定了硬质合金螺旋孔棒材的分类与示意图、技术要求、试验方法、检验规则、标志、包装、运输、贮存、质量证明书及订货单(或合同)内容。
GB/T 38987适用于加工带内冷孔钻头切削工具用硬质合金螺旋孔棒材(以下简称“螺旋孔棒材”)。
2规范性引用文件
下列文件对于本文件的应用是必不可少的。凡是注日期的引用文件,仅注日期的版本适用于本文件。凡是不注日期的引用文件,其最新版本(包括所有的修改单)适用于本文件。
GB/T 1800.2产 品几何技术规范(GPS)线性尺寸公差 ISO代号体系第 2部分:标准公差带代号和孔、轴的极限偏差表
GB/T 5242硬质合金制品检验规则与试验方法
GB/T 5243硬质合金制品的标志、包装、运输和贮存
3分类、示意图与型号表示规则
3.1 分类
螺旋孔棒材根据孔数分为双螺旋孔棒材和三螺旋孔棒材。根据供货状态分为螺旋孔毛坯棒材和螺旋孔精磨棒材。
3.2 示意图
双螺旋孔毛坯棒材示意图见图1a),三螺旋孔毛坯棒材示意图见图1b)。
5试验方法
5.1产品的尺寸及允许偏差、形状公差用相应精度的量具检测。
5.2产品的化学成分分析按供需双方协商确定的方法进行。
5.3 产品的物理与力学性能、微观组织结构的检验按GB/T 5242的规定进行,或由供需双方协商确定。
5.4产品的外观质量用目视检查,必要时可采用相应精度的量具检测。表面粗糙度采用粗糙度标准块比较法或粗糙度仪进行检查。
6检验规则
6.1 检查与验收
6.1.1 产品应由供方进行检验,保证产品质量符合本标准及订货单(或合同)的规定,并填写质量证明书。
6.1.2 需方应对收到的产品按本标准及订货单(或合同)的规定进行检验。检验结果与本标准及订货单(或合同)的规定不符时,应在收到产品之日起3个月内以书面形式向供方提出,由供需双方协商解决。如需仲裁,仲裁取样应由供需双方共同进行。
部分标准内容:
中华人民共和国国家标准
GB/T38987—2020
硬质合金螺旋孔棒材
Cemented carbide rods with helical coolant holes2020-07-21发布
国家市场监督管理总局
国家标准化管理委员会
2021-06-01实施
本标准按照GB/T1.1-2009给出的规则起草本标准由中国有色金属工业协会提出。本标准由全国有色金属标准化技术委员会(SAC/TC243)归口。GB/T38987—2020
本标准起草单位:株洲硬质合金集团有限公司、厦门金鹭特种合金有限公司、自贡硬质合金有限责任公司、深圳市注成科技股份有限公司、南昌硬质合金有限责任公司。本标准主要起草人:毛善文、孟小卫、梁鸿、刘铁梅、阳立庚、廖军、姜涛、凌芝、邹建平、陈成艺、张越、黄帅、吴爱华。
1范围
硬质合金螺旋孔棒材
GB/T38987—2020
本标准规定了硬质合金螺旋孔棒材的分类与示意图、技术要求、试验方法、检验规则、标志、包装、运输、贮存、质量证明书及订货单(或合同)内容。本标准适用干加工带内冷孔钻头切削工具用硬质合金螺旋孔棒材(以下简称“螺旅孔棒材”。2规范性引用文件
下列文件对于本文件的应用是必不可少的。凡是注日期的引用文件,仅注日期的版本适用于本文件。凡是不注日期的引用文件,其最新版本(包括所有的修改单)适用干本文件。GB/T1800.2产品几何技术规范(GPS)线性尺寸公差ISO代号体系第2部分:标准公差带代号和孔、轴的极限偏差表
GB/T5242硬质合金制品检验规则与试验方法硬质合金制品的标志、包装、运输和贮存GB/T5243
3分类、示意图与型号表示规则
3.1分类
螺旅孔棒材根据孔数分为双螺旋孔棒材和三螺旋孔棒材。根据供货状态分为螺旅孔手坏棒材和螺旋礼精磨棒材。
SnC3.2示意图
双螺旅孔毛坏棒材示意图见图1a),三螺旅孔毛坏棒材示意图见图1b)。p
a)双螺旋孔毛坏棒材示意图
说明:
螺距,螺旋孔棒材螺纹旋转一周的直线距离;螺旅孔棒材的长度;
螺旅孔棒材的孔径;
螺旅孔棒材的外径;
b)三螺旋孔毛坏棒材示意图
偏心距,为二孔或三礼圆心所在圆的圆心与棒材圆心之间的距高;礼间距,二礼或三孔圆心所在圆的直径。螺旋孔棒材示意图
GB/T38987—2020
型号表示规则
示例。
螺旅孔毛坏棒材型号由代号、外径、孔数、孔径、孔间距、长度和螺旋角符号等士部分组成,见示例:
2.0X10.4X330
螺角符号,见表1,B表示30°
长度,单位为毫米(mm),最多保留2位小数孔间距,单位为米(mm),最多保留2位小数孔径,单位为辜米(mm),最多保留2位小数孔数
外径,单位为毫米(mm),最多保留2位小数螺旋孔手坏棒材代号
螺旋孔精磨棒材型号由外径、精磨等级、孔数、孔径、孔间距、长度和螺旋角符号等七部分组成,3.3.2!
见示例。
示例:
$2.0X10.4X330
螺旋角符号,见表1,B表示30°
长度,单位为毫米(mm),最多保留2位小数孔间距,单位为毫米(mm),最多保留2位小数孔径,单位为毫米(mm),最多保留2位小数孔数
精磨等级为h6,符合GB/T1800.2螺旋孔精磨棒材外径,单位为毫米(mm),最多保留2位小数表1
螺旋角/(°)
注:产品螺旋角非表中数据时标注实际值。4技术要求
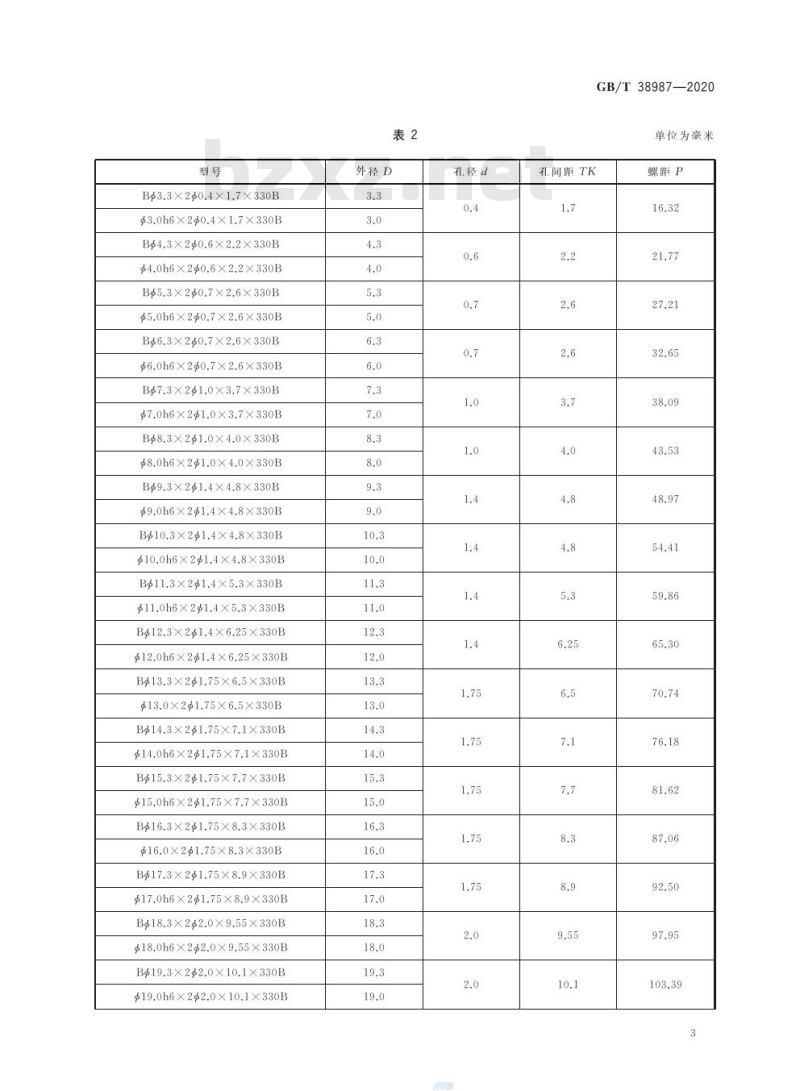
型号及尺寸
30°双螺旋孔棒材的典型型号及尺寸见表2。符号
B3.3X2$0.4X1.7X330B
$3.0h6X2$0.4X1.7×330B
Bp4.3×2$0.6×2.2×330B
$4.0h6×2$0.6×2.2×330B
B5.3X2$0.7X2.6X330B
$5.0h6×2$0.7×2.6×330B
B6.3X2g0.7X2.6X330B
$6.0h6X2$0.7X2.6X330B
B7.3X2$1.0X3.7×330B
$7.0h6X2$1.0X3.7X330B
B8.3X2$1.0X4.0X330B
$8.0h6×2$1.0×4.0×330B
B9.3X21.4X4.8X330B
$9.0h6X2$1.4X4.8X330B
B10.3×2$1.4X4.8X330B
$10.0h6×2$1.4X4.8X330B
B11.3×2$1.4×5.3×330B
$11.0h6×2$1.4×5.3×330B
B12.3X21.4X6.25X330B
$12.0h6×2$1.4×6.25×330B
B13.3×2$1.75×6.5×330B
$13.0×2$1.75×6.5×330B
B14.3X2$1.75×7.1X330B
$14.0h6X2$1.75×7.1X330B
B15.3X21.75X7.7X330B
$15.0h6×2$1.75×7.7X330B
B16.3X21.75X8.3X330B
$16.0×2$1.75×8.3×330B
B17.3X2$1.75X8.9X330B
$17.0h6×2$1.75X8.9X330B
Bg18.3X2g2.0X9.55X330B
$18.0h6×2$2.0×9.55X330B
B$19.3X2$2.0X10.1X330B免费标准bzxz.net
$19.0h6×2$2.0×10.1×330B
外径D
孔径d
GB/T38987—2020
单位为豪米
孔间距TK
螺距P
GB/T38987—2020
B20.3X2$2.0X10.4X330B
$20.0h6X2$2.0X10.4X330B
B21.3×2$2.0×11.15×330B
$21.0h6×2$2.0×11.15×330B
B$22.3X2$2.0X11.6X330B
$22.0h6X2$2.0X11.6X330B
Bp23.3X2$2.0X12.2X330B
$23.0h6X22.0X12.2X330B
B$24.3X2$2.0X12.8X330B
$24.0h6X22.0X12.8X330B
B25.3X2$2.0X13.3X330B
$25.0h6X2$2.0X13.3X330B
B$26.3X2$2.0X13.8X330B
$26.0h6X2$2.0X13.8X330B
B27.3×2$2.5×14.3×330B
$27.0h6×2$2.5×14.3×X330B
B28.3×2$2.5×14.8×330B
$28.0h6X2$2.5X14.8X330B
B29.3X2$2.5X15.4X330B
$29.0h6X2$2.5×15.4X330B
B30.3×2$2.5×16.0×330B
$30.0h6×2$2.5×16.0×330B
B31.3X2$2.5X16.6X330B
$31.0h6×2$2.5×16.6×330B
B$32.3X2$3.0X17.2X330B
$32.0h6×2$3.0×17.2×330B
表2(续)
外径D
40°和45°双螺旅孔棒材的典型型号及尺寸见表3。表3
B6.3X20.5X2.2X330C
$6.0h6×2$0.5×2.2×330C
B8.3X20.65X2.7X330C
$8.0h6X2$0.65×2.7X330C
外径D
孔径d
孔径d
孔间距TK
孔间距TK
单位为米
螺距P
单位为豪米
螺距P
Bg10.3×2$0.8X3.5X330C
10.0h6×2$0.8×3.5X330C
B12.3×2$0.9×4.2×330C
$12.0h6×2$0.9X4.2X330C
Bg14.3×2$1.0×4.7X330C
$14.0h6×2$1.0×4.7×3300
Bg16.3×2$1.2×5.5×330C
$16.0h6×2g1.2×5.5×330C
Bp18.3×2$1.4X6.3X330C
$18.0h6×2$1.4×6.3×3300
Bg20.3×2$1.5×7.1X330C
$20.0h6×2$1.5×7.1×3300
B6.3×2$0.6×1.9X330D
$6.0h6×20.6×1.9×330D
表3(续)
外径D
30°三螺旅孔棒材的典型型号及尺寸见表4。表4
B6.3×3$0.5×2.9X330B
$6.0h6X3g0.5×2.9X330B
B$8.3X3$0.7X4.0X330B
$8.0h6×3g0.7X4.0X330B
B10.3×3$0.85×5.1×330B
$10.0h6×3$0.85×5.1×330B
B12.3×3$1.1×6.3×330B
$12.0h6×3$1.1×6.3X330B
Bp14.3×3$1.4×7.3×330B
$14.0h6×3$1.4×7.3×330B
Bp16.3X3@1.6X8.3X330B
$16.0h6×3$1.6×8.3×330B
Bp18.3X3$1.7X9.5×330B
$18.0h6×3$1.7×9.5×330B
B20.3×31.9×10.2×330B
$20.0h6×31.9×10.2×330B
外径D
礼径d
孔径d
孔间距TK
GB/T38987—2020
单位为豪米
孔间距TK
礼夹角
螺距P
螺距P
GB/T38987—2020
40°三螺旋孔棒材的典型型号及尺寸见表5。表5
Bp6.3X3$0.5X2.2X330C
$6.0h6X3g0.5X2.2X330C
B8.3×3$0.65×2.7×330C
$8.0h6×3p0.65X2.7X330C
B10.3X2p0.8X3.5×330C
$10.0h6×2$0.8x3.5×330c
Bp12.3X3g0.9X4.2×330C
$12.0h6×3$0.9×4.2×330C
B§14.3X3@1.0X4.7×330C
$14.0h6X3$1.0X4.7×330C
B16.3×21.2×5.5×330C
$16.0h6×2$1.2×5.5×330C
Bp18.3X3g1.4X6.3X330C
$18.0h6×3$1.4×6.3×330C
B§20.3X31.5×7.1X330C
$20.0h6X3$1.5×7.1×330C
尺寸允许偏差与形状公差
外径D
孔径d
孔间距TK
孔夹角
螺距P
螺旅孔毛坏棒材的外径允许偏差应符合表6的规定,螺旋孔精磨棒材外径的允许偏差应符合表7的规定,其精磨等级要求应符合GB/T1800.2的规定。表6
螺旋孔手坏棒材外径D
6.3≤D<10.3
10.3≤D<13.3
13.3≤D≤32.3
允许偏差(含螺纹)
+0.3~+0.8
+0.3~+1.0
+0.4~+1.1
+0.5~+1.4
单位为辜米
允许偏差(不含螺纹)
螺旋孔精磨棒材外径D
3.0≤D≤6.0
6.0D≤10.0
10.0
长度L
20≤200
200≤300
300330
螺旋孔棒材的孔径充许偏差应符合表9的规定。表9
孔径d
0.2≤d<0.6
0.6≤d<1.5
1.5≤d<2.0
2.5≤d≤3.0
4.2.4螺旋孔棒材的孔间距允许偏差应符合表10的规定。表10
孔间距TK
1.0≤TK<1.9
1.9≤TK<4.2
4.2≤TK<5.3
5.3≤TK<9.6
9.6≤TK<14.0
14.0≤TK≤18.0
允许偏差”
允许偏差
0~+10.0
允许偏差
允许偏差
螺旋孔棒材的偏心距、三孔之间夹角允许偏差应符合表11的规定。GB/T38987—2020
单位为辜米
单位为辜米
单位为豪米
单位为豪米
小提示:此标准内容仅展示完整标准里的部分截取内容,若需要完整标准请到上方自行免费下载完整标准文档。
标准图片预览:





- 热门标准
- GB国家标准
- GB/T2828.1-2012 计数抽样检验程序 第1部分:按接收质量限(AQL)检索的逐批检验抽样计划
- GB/T228.1-2021 金属材料 拉伸试验 第1部分:室温试验方法
- GB/T18204.4-2000 公共场所毛巾、床上卧具微生物检验方法细菌总数测定
- GB/T97.1-2002 平垫圈A级
- GB/T23892.3-2009 滑动轴承 稳态条件下流体动压可倾瓦块止推轴承 第3部分:可倾瓦块止推轴承计算的许用值
- GB/T11839-1989 二氧化铀芯块中硼的测定 姜黄素萃取光度法
- GB15603-2022 危险化学品仓库储存通则
- GB/T1804-2000 一般公差 未注公差的线性和角度尺寸的公差
- GB/T7433-1987 对称电缆载波通信系统抗无线电广播和通信干扰的指标
- GB/T21238-2007 玻璃纤维增强塑料夹砂管
- GB/T28809-2012 轨道交通 通信、信号和处理系统 信号用安全相关电子系统
- GB/T9239-1988 刚性转子平衡品质 许用不平衡的确定
- GB/T15917.3-1995 金属镝及氧化镝化学分析方法 对氯苯基荧光酮--溴化十六烷基三甲基胺分光光度法测定钽量
- GB/T5738-1995 瓶装酒、饮料塑料周转箱
- GB/T13985-1992 照相机操作力和强度
- 行业新闻
网站备案号:湘ICP备2025141790号-2