- 您的位置:
- 标准下载网 >>
- 标准分类 >>
- 冶金行业标准(YB) >>
- YB/T 060-2007 炼钢转炉用耐火砖形状尺寸
标准号:
YB/T 060-2007
标准名称:
炼钢转炉用耐火砖形状尺寸
标准类别:
冶金行业标准(YB)
标准状态:
现行-
发布日期:
2007-03-06 -
实施日期:
2007-09-01 出版语种:
简体中文下载格式:
.rar.pdf下载大小:
4.58 MB
替代情况:
替代YB/T 060-1994
部分标准内容:
ICS 81.080
中华人民共和国黑色冶金行业标准YB/T0602007
代替YB/T060—1994
炼钢转炉用耐火砖形状尺寸
Dimensions of bricks for steel-making converters2007-03-06发布
2007-09-01实施
中华人民共和国国家发展和改革委员会发布
本标准代替YB/T060—1994《炼钢转炉用耐火砖形状尺寸》。本标准与YB/T060—1994相比主要变化如下:长度系列尺寸由350mm900mm延伸至250mm~1300mm;YB/T060—-2007
-大小端尺寸差系列由120mm、90mm、60mm、40mm、20mm、10mm、0mm调整为120mm、90mm、60mm.30mm、20mm、10mm.0mm;
取消等中间尺寸150mm系列砖中B(厚度,原标准中为C)为75mm的砖、等中间尺寸120mm系列砖及竖厚楔形砖尺寸;
-取消原标准中“大小端差距比”及其对应参数;“竖宽楔形砖弯曲外半径”变更为“竖宽楔形砖中间半径”;增加转炉炉帽砖和转炉球底砖的形状、尺寸及尺寸特征。本标准的附录A是资料性附录。
本标准由中国钢铁工业协会提出。本标准由全国耐火材料标准化技术委员会归口。本标准起草单位:武汉钢铁(集团)公司、治金工业信息标准研究院。本标准起草人:莫瑛、田学光、张嘉严、魏文权、薛启文、游道铭、白汉芳、蔡么兵、李灵、高建平。本标准所代替标准的历次版本发布情况为:YB/T060--1994。
1范围
炼钢转炉用耐火砖形状尺寸
YB/T060—2007
本标准规定了炼钢转炉工作衬用耐火砖的术语和定义、分类、砖的名称、形状、尺寸及尺寸特征。本标准适用于炼钢转炉工作衬用碱性耐火砖。2规范性引用文件
下列文件中的条款,通过本标准的引用而成为本标准的条款。凡是注日期的引用文件,其随后所有的修改单(不包括勘误的内容)或修订版均不适用本标准,然而,鼓励根据本标准达成协议的各方研究是否可使用下列标准最新版本。凡是不注日期的引用文件,其最新版本适用于本标准。GB/T29921998通用耐火砖形状尺寸GB/T8170数值修约规则
YB/T2217—1999电炉用球顶砖形状尺寸3术语和定义
GB/T2992—1998第2章确立的以及下列术语和定义适用于本标准。3.1
球底楔形砖sphericaldomebricks应符合YB/T2217—1999中关于球顶楔形砖和球顶直形砖的规定。3.2
球底直形砖rectangulardomebricks应符合YB/T2217--1999中关于球顶楔形砖和球顶直形砖的规定。3.3
等中间尺寸(a,)constantmediandimensior符合GB/T2992一1998中规定的楔形砖大端尺寸与小端尺寸的平均值相等的尺寸的规定,本标准a,=150mm。
楔形砖的中间半径(R.)medianradiusofwedgebrick全部用一种楔形砖砌筑的砖环(单形砖砖环)的中间半径(砖环内外径的平均值)R:apA
,或者Rpo
2(a,=D)’
,Rpo表示该楔形砖的中间半径。每环极限块数(Ko)fixedpiecesofeachringa,-D或者K=
单楔形砖砖环内该楔形砖的最多块数,即 K。=。rA,2元A
4分类
4.1炼钢转炉工作衬耐火砖分为竖宽楔形砖其形状见图1)、直形砖(图1中C=D)、炉帽竖宽楔形砖(其形状见图2)和球底砖
4.2球底砖分为球底中心砖、球底楔形砖和球底直形砖,其形状分别见图3、图4和图5。1
YB/T060—2007
竖宽楔形砖
图3球底中心砖
5砖的名称、形状、尺寸及尺寸特征B3
图4球底楔形砖
炉帽竖宽楔形砖
图5球底直形砖
5.1竖宽楔形砖及直形砖
5.1.1砖号由两组数字组成,两组数字中间用斜线分隔符号分开。斜线前的数字表示砖的长度,单位取厘米(cm),它等于A/10。斜线后的数字表示尺寸C与D间的差值,单位取毫米(mm)。如果是直形砖,斜线后的数字是0。
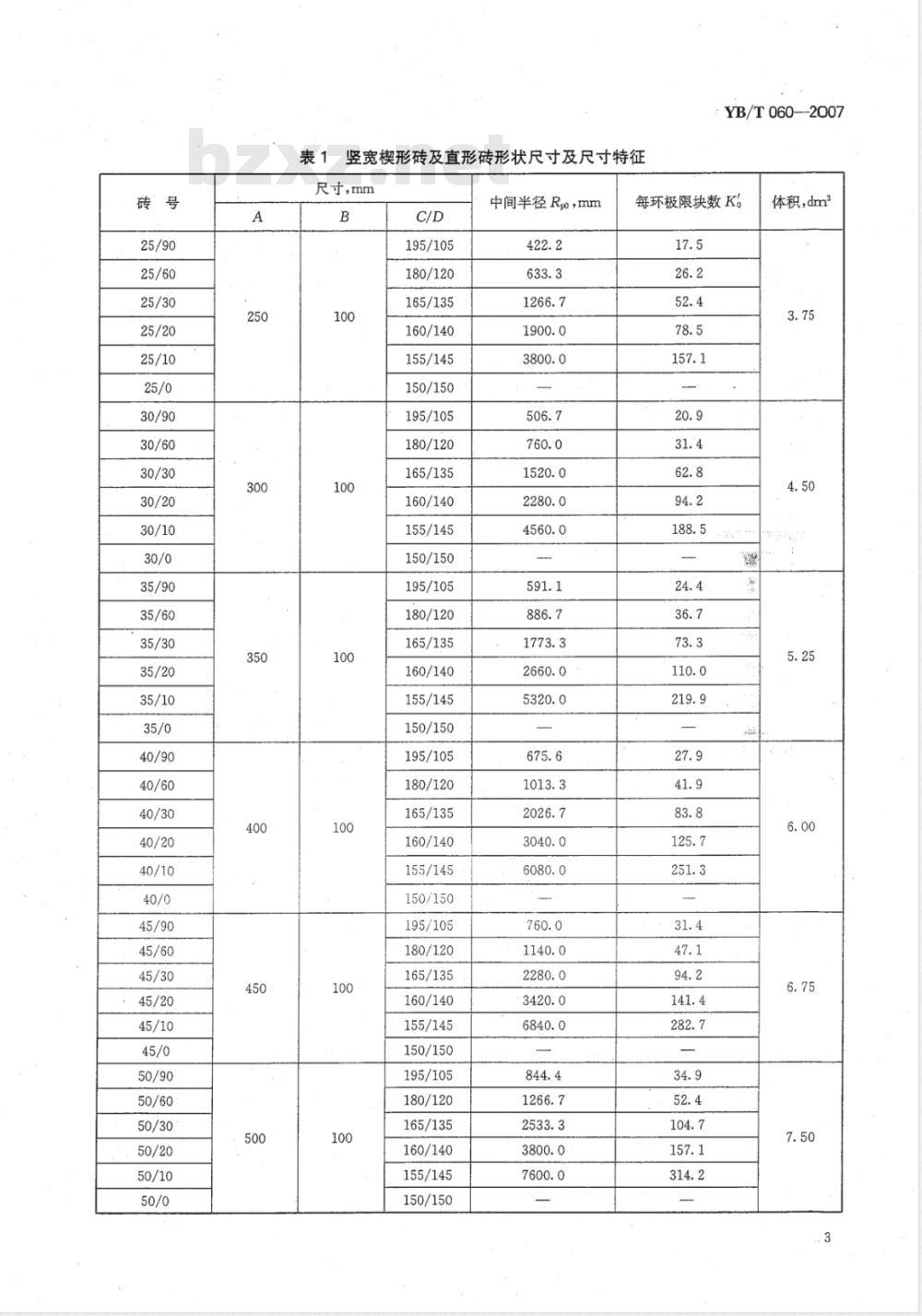
5.1.2砖的尺寸及尺寸特征应符合表1的规定。5.2炉帽竖宽楔形砖
5.2.1砖号由两组数字和字母M组成,两组数字之间用斜线分隔符号分开。斜线前的数字表示砖的长度,单位取厘米(cm),它等于A/10。斜线后的数字表示C与D之间的差值,单位取毫米(mm)。M是炉帽的“帽”字汉语拼音首个字母。5.2.2砖的尺寸及尺寸特征应符合表2的规定。2
表1竖宽楔形砖及直形砖形状尺寸及尺寸特征尺寸,mm
195/105
180/120
165/135
160/140
155/145
150/150
195/105
180/120
165/135
160/140
155/145
150/150
195/105
180/120
165/135
160/140
155/145
150/150
195/105
180/120
165/135
160/140
155/145
150/150
195/105
180/120
165/135
160/140
155/145
150/150
195/105
180/120
165/135
160/140
155/145
150/150
中间半径Rpo,mm
YB/T060--2007
每环极限块数K
体积,dm2
YB/T060—2007
55/120
60/120
65/120
70/120
75/120
尺寸,mm
表1(续)
中间半径Rpo,mm
210/90
195/105
180/120
165/135
160/140
155/145
150/150
210/90
195/105
180/120wwW.bzxz.Net
165/135
160/140
155/145
150/150
210/90
195/105
180/120
165/135
160/140
155/145
150/150
210/90
195/105
180/120
165/135
160/140
155/145
150/150
210/90
195/105
180/120
165/135
160/140
155/145
150/150
3293:3
每环极限块数K。
体积,dm3
80/120
85/120
90/120
95/120
100/120
100/90
100/60
100/30
100/20
100/10
.100/0
尺寸,mm
表1(续)
中间半径Ro,mm
210/90
195/105
180/120
165/135
160/140
155/145
150/150
210/90
195/105
180/120
165/135
160/140
155/145
150/150
210/90
195/105
180/120
165/135
160/140
155/145
150/150
210/90
195/105
180/120
165/135
160/140
155/145
150/150
210/90
195/105
180/120
165/135
160/140
155/145
150/150
YB/T060--2007
每环极限块数K。
体积,dm3
YB/T060--2007
110/120
110/90
110/60
110/30
110/20
110/10
120/120
120/90
120/60
120/30
120/20
120/10
130/120
130/90
130/60
130/30
130/20
130/10
尺寸,mm
表1(续)
中间半径Rpomm
210/90
195/105
180/120
165/135
160/140
155/145
150/150
210/90
195/105
180/120
165/135
160/140
155/145
150/150
210/90
195/105
180/120
165/135
160/140
155/145
150/150
注:1.本表中砖尺寸B取100mm,根据需要B可取150mm。2.计算楔形砖中间半径Rpo时,砖缝厚度取2mm。1393.3
每环极限块数K。
表2'炉帽竖宽楔形砖形状尺寸及尺寸特征砖号
35/90M
35/60M
35/30M
尺寸,mm
195/105
180/120
165/135
中间半径Ro,mm
每环极限块数K。
体积,dm2
体积,dm3
40/90M
40/60M
40/30M
45/90M
45/60M
45/30M
50/90M
50/60M
50/30M
55/120M
55/90M
55/60M
55/30M
60/120M
60/90M
60/60M
60/30M
65/120M
65/90M
65/60M
70/120M
70/90M
70/60M
70/30M
75/120M
75/90M
75/60M
75/30M
尺寸,mm
表2(续)
中间半径Rpo,mm
195/105
180/120
165/135
195/105
180/120
165/135
195/105
180/120
165/135
210/90
195/105
180/120
165/135
210/90
195/105
180/120
165/135
210/90
195/105
180/120
165/135
210/90
195/105
180/120
165/135
210/90
195/105
180/120
165/135
YB/T060—2007
每环极限块数K。
体积,dm3
YB/T060—-2007
80/120M
80/90M
80/60M
80/30M
85/120M
85/90M
85/60M
85/30M
90/120M
90/90M
90/60M
90/30M
95/120M
95/90M
95/60M
95/30M
尺寸,mm
表2(续)
中间半径Rpo,mm
210/90
195/105
180/120
165/135
210/90
195/105
180/120
165/135
210/90
195/105
180/120
165/135
210/90
195/105
180/120
165/135
注:1.本表中砖尺寸B取100mm,根据需要B可取150mm。2.计算楔形砖中间半径Rpo时,砖缝厚度取2mm。1013.3
每环极限块数K。
体积,dm3
5.3球底砖:球底砖由球底中心砖(见图3)、球底楔形砖(见图4)和球底直形砖(见图5)组成。
5.3.1球底中心砖
5.3.1.1砖号由数字和字母Z组成。数字表示砖的长度,单位取厘米(cm),它等于A/10。Z是中心砖的“中”字汉语拼音首字母。
5.3.1.2球底中心砖的尺寸及尺寸特征应符合表3的规定。5.3.2球底楔形砖和球底直形砖
5.3.2.1砖号由两组数字组成,两组数字中间用短横线分开,短横线前的数字表示砖的长度,单位取厘米(cm),它等于A/10,短横线后的数字表示砖的序号。5.3.2.2球底楔形砖和球底直形砖的尺寸及尺寸特征应符合表3的规定。8
YB/T060—2007
68/00m
68/000
68/00l
9/0288/66
/06/910
06/000
06/001
06/001
06/001
9/068/66
s.T6/sTo1
06/001
06/001
06/001
06/001
968/966
21/861
21/861
99/s*z9
小提示:此标准内容仅展示完整标准里的部分截取内容,若需要完整标准请到上方自行免费下载完整标准文档。
中华人民共和国黑色冶金行业标准YB/T0602007
代替YB/T060—1994
炼钢转炉用耐火砖形状尺寸
Dimensions of bricks for steel-making converters2007-03-06发布
2007-09-01实施
中华人民共和国国家发展和改革委员会发布
本标准代替YB/T060—1994《炼钢转炉用耐火砖形状尺寸》。本标准与YB/T060—1994相比主要变化如下:长度系列尺寸由350mm900mm延伸至250mm~1300mm;YB/T060—-2007
-大小端尺寸差系列由120mm、90mm、60mm、40mm、20mm、10mm、0mm调整为120mm、90mm、60mm.30mm、20mm、10mm.0mm;
取消等中间尺寸150mm系列砖中B(厚度,原标准中为C)为75mm的砖、等中间尺寸120mm系列砖及竖厚楔形砖尺寸;
-取消原标准中“大小端差距比”及其对应参数;“竖宽楔形砖弯曲外半径”变更为“竖宽楔形砖中间半径”;增加转炉炉帽砖和转炉球底砖的形状、尺寸及尺寸特征。本标准的附录A是资料性附录。
本标准由中国钢铁工业协会提出。本标准由全国耐火材料标准化技术委员会归口。本标准起草单位:武汉钢铁(集团)公司、治金工业信息标准研究院。本标准起草人:莫瑛、田学光、张嘉严、魏文权、薛启文、游道铭、白汉芳、蔡么兵、李灵、高建平。本标准所代替标准的历次版本发布情况为:YB/T060--1994。
1范围
炼钢转炉用耐火砖形状尺寸
YB/T060—2007
本标准规定了炼钢转炉工作衬用耐火砖的术语和定义、分类、砖的名称、形状、尺寸及尺寸特征。本标准适用于炼钢转炉工作衬用碱性耐火砖。2规范性引用文件
下列文件中的条款,通过本标准的引用而成为本标准的条款。凡是注日期的引用文件,其随后所有的修改单(不包括勘误的内容)或修订版均不适用本标准,然而,鼓励根据本标准达成协议的各方研究是否可使用下列标准最新版本。凡是不注日期的引用文件,其最新版本适用于本标准。GB/T29921998通用耐火砖形状尺寸GB/T8170数值修约规则
YB/T2217—1999电炉用球顶砖形状尺寸3术语和定义
GB/T2992—1998第2章确立的以及下列术语和定义适用于本标准。3.1
球底楔形砖sphericaldomebricks应符合YB/T2217—1999中关于球顶楔形砖和球顶直形砖的规定。3.2
球底直形砖rectangulardomebricks应符合YB/T2217--1999中关于球顶楔形砖和球顶直形砖的规定。3.3
等中间尺寸(a,)constantmediandimensior符合GB/T2992一1998中规定的楔形砖大端尺寸与小端尺寸的平均值相等的尺寸的规定,本标准a,=150mm。
楔形砖的中间半径(R.)medianradiusofwedgebrick全部用一种楔形砖砌筑的砖环(单形砖砖环)的中间半径(砖环内外径的平均值)R:apA
,或者Rpo
2(a,=D)’
,Rpo表示该楔形砖的中间半径。每环极限块数(Ko)fixedpiecesofeachringa,-D或者K=
单楔形砖砖环内该楔形砖的最多块数,即 K。=。rA,2元A
4分类
4.1炼钢转炉工作衬耐火砖分为竖宽楔形砖其形状见图1)、直形砖(图1中C=D)、炉帽竖宽楔形砖(其形状见图2)和球底砖
4.2球底砖分为球底中心砖、球底楔形砖和球底直形砖,其形状分别见图3、图4和图5。1
YB/T060—2007
竖宽楔形砖
图3球底中心砖
5砖的名称、形状、尺寸及尺寸特征B3
图4球底楔形砖
炉帽竖宽楔形砖
图5球底直形砖
5.1竖宽楔形砖及直形砖
5.1.1砖号由两组数字组成,两组数字中间用斜线分隔符号分开。斜线前的数字表示砖的长度,单位取厘米(cm),它等于A/10。斜线后的数字表示尺寸C与D间的差值,单位取毫米(mm)。如果是直形砖,斜线后的数字是0。
5.1.2砖的尺寸及尺寸特征应符合表1的规定。5.2炉帽竖宽楔形砖
5.2.1砖号由两组数字和字母M组成,两组数字之间用斜线分隔符号分开。斜线前的数字表示砖的长度,单位取厘米(cm),它等于A/10。斜线后的数字表示C与D之间的差值,单位取毫米(mm)。M是炉帽的“帽”字汉语拼音首个字母。5.2.2砖的尺寸及尺寸特征应符合表2的规定。2
表1竖宽楔形砖及直形砖形状尺寸及尺寸特征尺寸,mm
195/105
180/120
165/135
160/140
155/145
150/150
195/105
180/120
165/135
160/140
155/145
150/150
195/105
180/120
165/135
160/140
155/145
150/150
195/105
180/120
165/135
160/140
155/145
150/150
195/105
180/120
165/135
160/140
155/145
150/150
195/105
180/120
165/135
160/140
155/145
150/150
中间半径Rpo,mm
YB/T060--2007
每环极限块数K
体积,dm2
YB/T060—2007
55/120
60/120
65/120
70/120
75/120
尺寸,mm
表1(续)
中间半径Rpo,mm
210/90
195/105
180/120
165/135
160/140
155/145
150/150
210/90
195/105
180/120wwW.bzxz.Net
165/135
160/140
155/145
150/150
210/90
195/105
180/120
165/135
160/140
155/145
150/150
210/90
195/105
180/120
165/135
160/140
155/145
150/150
210/90
195/105
180/120
165/135
160/140
155/145
150/150
3293:3
每环极限块数K。
体积,dm3
80/120
85/120
90/120
95/120
100/120
100/90
100/60
100/30
100/20
100/10
.100/0
尺寸,mm
表1(续)
中间半径Ro,mm
210/90
195/105
180/120
165/135
160/140
155/145
150/150
210/90
195/105
180/120
165/135
160/140
155/145
150/150
210/90
195/105
180/120
165/135
160/140
155/145
150/150
210/90
195/105
180/120
165/135
160/140
155/145
150/150
210/90
195/105
180/120
165/135
160/140
155/145
150/150
YB/T060--2007
每环极限块数K。
体积,dm3
YB/T060--2007
110/120
110/90
110/60
110/30
110/20
110/10
120/120
120/90
120/60
120/30
120/20
120/10
130/120
130/90
130/60
130/30
130/20
130/10
尺寸,mm
表1(续)
中间半径Rpomm
210/90
195/105
180/120
165/135
160/140
155/145
150/150
210/90
195/105
180/120
165/135
160/140
155/145
150/150
210/90
195/105
180/120
165/135
160/140
155/145
150/150
注:1.本表中砖尺寸B取100mm,根据需要B可取150mm。2.计算楔形砖中间半径Rpo时,砖缝厚度取2mm。1393.3
每环极限块数K。
表2'炉帽竖宽楔形砖形状尺寸及尺寸特征砖号
35/90M
35/60M
35/30M
尺寸,mm
195/105
180/120
165/135
中间半径Ro,mm
每环极限块数K。
体积,dm2
体积,dm3
40/90M
40/60M
40/30M
45/90M
45/60M
45/30M
50/90M
50/60M
50/30M
55/120M
55/90M
55/60M
55/30M
60/120M
60/90M
60/60M
60/30M
65/120M
65/90M
65/60M
70/120M
70/90M
70/60M
70/30M
75/120M
75/90M
75/60M
75/30M
尺寸,mm
表2(续)
中间半径Rpo,mm
195/105
180/120
165/135
195/105
180/120
165/135
195/105
180/120
165/135
210/90
195/105
180/120
165/135
210/90
195/105
180/120
165/135
210/90
195/105
180/120
165/135
210/90
195/105
180/120
165/135
210/90
195/105
180/120
165/135
YB/T060—2007
每环极限块数K。
体积,dm3
YB/T060—-2007
80/120M
80/90M
80/60M
80/30M
85/120M
85/90M
85/60M
85/30M
90/120M
90/90M
90/60M
90/30M
95/120M
95/90M
95/60M
95/30M
尺寸,mm
表2(续)
中间半径Rpo,mm
210/90
195/105
180/120
165/135
210/90
195/105
180/120
165/135
210/90
195/105
180/120
165/135
210/90
195/105
180/120
165/135
注:1.本表中砖尺寸B取100mm,根据需要B可取150mm。2.计算楔形砖中间半径Rpo时,砖缝厚度取2mm。1013.3
每环极限块数K。
体积,dm3
5.3球底砖:球底砖由球底中心砖(见图3)、球底楔形砖(见图4)和球底直形砖(见图5)组成。
5.3.1球底中心砖
5.3.1.1砖号由数字和字母Z组成。数字表示砖的长度,单位取厘米(cm),它等于A/10。Z是中心砖的“中”字汉语拼音首字母。
5.3.1.2球底中心砖的尺寸及尺寸特征应符合表3的规定。5.3.2球底楔形砖和球底直形砖
5.3.2.1砖号由两组数字组成,两组数字中间用短横线分开,短横线前的数字表示砖的长度,单位取厘米(cm),它等于A/10,短横线后的数字表示砖的序号。5.3.2.2球底楔形砖和球底直形砖的尺寸及尺寸特征应符合表3的规定。8
YB/T060—2007
68/00m
68/000
68/00l
9/0288/66
/06/910
06/000
06/001
06/001
06/001
9/068/66
s.T6/sTo1
06/001
06/001
06/001
06/001
968/966
21/861
21/861
99/s*z9
小提示:此标准内容仅展示完整标准里的部分截取内容,若需要完整标准请到上方自行免费下载完整标准文档。
标准图片预览:





- 其它标准
- 热门标准
- 冶金行业标准(YB)
- YB/T5044-1993 氧化钼块化学分析方法 苯基荧光酮光度法测定锡
- YB/T178.2-2000 硅铝合金、硅钡铝合金化学分析方法硫酸钡重量法测定钡含量
- YB4036-1991 高炉炭块铁水熔蚀指数试验方法
- YBB0003-2002 钠钙玻璃输液瓶(试行)(附起草说明)
- YB/T132-2007 电熔镁铬砂
- YB/T4352-2013 耐热混凝土
- YB9073-2014 钢制压力容器设计技术规定
- YB/T079-1995 三环减速器
- YB4074-1991 镁碳砖
- YB/T5058-2005 弹簧钢、工具钢冷轧钢带
- YB/T5012-1997 高炉及热风炉用砖形状及尺寸
- YB/T5053-1997 石墨阳极
- YB/T076-1995 钢筋混凝土用焊接钢筋网
- YB/T133-1998 热风炉用硅砖
- YBJ207-1985 冶金机械设备安装工程施工及验收规范 液压、气动和润滑系统
- 行业新闻
请牢记:“bzxz.net”即是“标准下载”四个汉字汉语拼音首字母与国际顶级域名“.net”的组合。 ©2025 标准下载网 www.bzxz.net 本站邮件:bzxznet@163.com
网站备案号:湘ICP备2025141790号-2
网站备案号:湘ICP备2025141790号-2