- 您的位置:
- 标准下载网 >>
- 标准分类 >>
- 国家标准(GB) >>
- GB/T 3478.3-1995 园柱直齿渐开线花键 37.5°压力角 尺寸表
标准号:
GB/T 3478.3-1995
标准名称:
园柱直齿渐开线花键 37.5°压力角 尺寸表
标准类别:
国家标准(GB)
英文名称:
Cylindrical spur involute spline 37.5° pressure angle dimension table标准状态:
已作废-
发布日期:
1995-07-01 -
实施日期:
1996-05-01 -
作废日期:
2009-05-01 出版语种:
简体中文下载格式:
.rar.pdf下载大小:
2.95 MB
标准ICS号:
机械系统和通用件>>轴和联轴器>>21.120.30键和键槽、花键中标分类号:
机械>>通用零部件>>J18链传动、皮带传动与键联结
替代情况:
被GB/T 3478.3-2008代替采标情况:
REG ISO 4156-81
部分标准内容:
UDC 621. 886. 6
中华人民共和国国家标准
GB/T3478.1~3478.9--1995
圆柱直齿渐开线花键
Straight cylindrical involute splines1995-07-12发布
国家技术监督局
1996-05-01实施
中华人民共和国国家标准
圆柱直齿渐开线花键
37.5°压力角尺寸表
Straight cylindrical involute splines-37. 5° pressure angle dimensions tablesGB/T 3478.3—1995
本标准参照采用ISO4156一1981《圆柱直齿渐开线花键一米制模数一齿侧配合一总论、尺寸和检验》标准的第二部分“尺寸”。1 主题内容与适用范围
本标准规定了标准压力角为37.5°圆齿根(以下简称37.5°圆齿根)的圆柱直齿渐开线花键所需的全部花键尺寸。
本标准适用于GB/T3478.1标准中规定的压力角为37.5°模数为0.5至10mm、齿侧配合的渐开线花键。
本尺寸表是按GB/T3478.1表3计算公式和齿侧配合为H/h、并采用基本检验方法编制的。2引用标准
GB/T3478.1圆柱直齿渐开线花键模数基本齿廓公差GB1800‘公差与配合总论标准公差与基本偏差3尺寸表
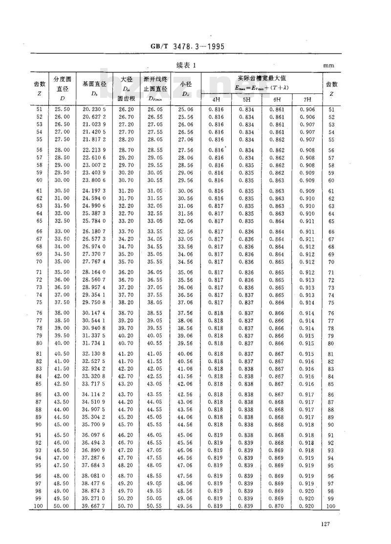
3.137.5°圆齿根,模数为0.5至10mm,公差等级为4、5、6和7级的花键尺寸表,见表1至表28。3.2内花键小径D的极限偏差和外花键大径D.的公差,见GB/T3478.1表25。3.3内花键大径D。和外花键小径D的公差,从GB1800的标准公差IT12、IT13或IT14中选取。3.4用展成法加工内、外花键时,齿根圆弧半径是变化的,本标准给出的是齿根圆弧最小曲率半径,见GB/T 3478.1表26。
3.5当选择的检验方法不为基本方法时,其作用齿槽宽最大值、实际齿槽宽最小值、作用齿厚最小值和实际齿厚最大值按下式计算:
作用齿槽宽最大值Evmax=Emax一入;实际齿槽宽最小值Emin=Evmin十^;作用齿厚最小值Svmin=Smin+入;实际齿厚最大值 SmxSvmax—入。3.6当花键齿侧配合类别不为H/h时,尺寸表中外花键的尺寸应按下式计算:作用齿厚最大值Svuax=S十esv;
实际齿厚最小值Smin=Symax—(T+入)。式中: esy-
作用齿厚的上偏差,见GB/T3478.1表23;(T+A)——总公差,见GB/T3478.1表8至表21国家技术监督局1995-07-12批准1996-05-01实施
GB/T3478.3--1995
外花键大径和小径的上偏差见GB/T3478.1表24。3.7本尺寸表中外花键渐开线起始圆直径最大值DFemx的数值是按齿条形刀具加工原理推导的公式计算的。
当花键齿侧配合类别不为H/h时,DFemax可根据GB/T3478.1表3中的公式计算。,表137.5°内花键
模数m=0.5
分度圆
基圆直径
12. 297 0
18. 247 1
圆齿根
作用齿槽宽最小值
渐开线终
止圆直径
Drimin
Evmin=0.785
实际齿槽宽最大值
Emax =Evain +(T+^)
.0.891
分度圆
基圆直径
26. 180 7
27. 767 4
28. 164 0
32. 924 2
33. 717 5
36. 890 9
37. 287 6
37. 684 3
圆齿根
GB/T 3478. 3---1995
续表1
渐开线终
止圆直径
Drirnin
实际齿槽宽最大值
Emx =Evmin +(T+a)
分度圆
模数m=0.75
基直径
圆齿根
GB/T 3478. 3--1995
表237.5°内花键
作用齿槽宽最小值
渐开线终
止圆直径
DFimnin下载标准就来标准下载网
Evmin-1.178
实际齿槽宽最大值
Emx-Evmia+(T+a)
分度圆
基圆直径
41,651 1
45. 221 1
46. 411 2
47. 006 2
48. 196 2
54. 741 4
58. 311 5
圆齿根
GB/T 3478.3—1995
续表2
渐开线终
止圆直径
Drimin
实际齿槽宽最大值
Emax=Evmin +(T+a)
分度圆
模数m=1.00
基圆直径
23. 007 2
34. 114 2
42. 047 7
圆齿根
47、40
GB/T 3478.3--1995
表337.5°内花键
作用齿槽宽最小值
渐开线终
止圆直径
DFimin
Evmin 1.571
实际齿槽宽最大值
Emax =Evnain+(T+^)
分度圆
基圆直径
57. 121 4
57. 914 8
66. 641 7
72. 195 2
73. 781 9
76. 161 9
圆齿根
GB/T 3478.3—1995
续表3
渐开线终
止圆直径
Drimin
实际齿槽宽最大值
Emax=Evmin +(T+a)
分度圆
模数 m=1. 25
基圆直径
14. 875 4
24. 792 3
25. 784 0
27. 767 4
28. 759 1
31. 734 1
41. 651 1
圆齿根
GB/T 3478.3--1995
表437.5°内花键
作用齿槽宽最小值
Evmin=1.963
渐开线终
止圆直径
DFimin
实际齿槽宽最大值
Erax =Evrain +(T+^)
分度圆
基圆直径
65. 451 7
69. 418 4
74. 376 9
75. 368 6
81. 318 7
88. 260 6
89. 252 3
圆齿根
GB/T 3478.3—1995
续表4
渐开线终
止圆直径
DFimin
实际齿槽宽最大值
Ernax Evmin +(T+A)
分度圆
模数 m1. 5
基圆直径
15. 470 4
47. 601 2
63. 071 6
GB/T 3478.3--1995
37.5°内花键
作用齿槽宽最小值
Evmin=2.356
渐开线终
止圆直径
DFirnin
实际齿槽宽最大值
Emx=Evmin+(T+a)
分度圆
基圆直径
67. 831 7
70. 211 8
71. 401 8
73. 781 9
76. 161 9
82. 112 1
99. 962 5
101.152 6
105.912 7
107. 102 7
111.862 8
117.813 0
圆齿根
GB/T 3478.3—1995
续表5
渐开线终
止圆直径
DFimin
2、401
实际齿槽宽最大值
Emax=Evnin+(T+A)
小提示:此标准内容仅展示完整标准里的部分截取内容,若需要完整标准请到上方自行免费下载完整标准文档。
中华人民共和国国家标准
GB/T3478.1~3478.9--1995
圆柱直齿渐开线花键
Straight cylindrical involute splines1995-07-12发布
国家技术监督局
1996-05-01实施
中华人民共和国国家标准
圆柱直齿渐开线花键
37.5°压力角尺寸表
Straight cylindrical involute splines-37. 5° pressure angle dimensions tablesGB/T 3478.3—1995
本标准参照采用ISO4156一1981《圆柱直齿渐开线花键一米制模数一齿侧配合一总论、尺寸和检验》标准的第二部分“尺寸”。1 主题内容与适用范围
本标准规定了标准压力角为37.5°圆齿根(以下简称37.5°圆齿根)的圆柱直齿渐开线花键所需的全部花键尺寸。
本标准适用于GB/T3478.1标准中规定的压力角为37.5°模数为0.5至10mm、齿侧配合的渐开线花键。
本尺寸表是按GB/T3478.1表3计算公式和齿侧配合为H/h、并采用基本检验方法编制的。2引用标准
GB/T3478.1圆柱直齿渐开线花键模数基本齿廓公差GB1800‘公差与配合总论标准公差与基本偏差3尺寸表
3.137.5°圆齿根,模数为0.5至10mm,公差等级为4、5、6和7级的花键尺寸表,见表1至表28。3.2内花键小径D的极限偏差和外花键大径D.的公差,见GB/T3478.1表25。3.3内花键大径D。和外花键小径D的公差,从GB1800的标准公差IT12、IT13或IT14中选取。3.4用展成法加工内、外花键时,齿根圆弧半径是变化的,本标准给出的是齿根圆弧最小曲率半径,见GB/T 3478.1表26。
3.5当选择的检验方法不为基本方法时,其作用齿槽宽最大值、实际齿槽宽最小值、作用齿厚最小值和实际齿厚最大值按下式计算:
作用齿槽宽最大值Evmax=Emax一入;实际齿槽宽最小值Emin=Evmin十^;作用齿厚最小值Svmin=Smin+入;实际齿厚最大值 SmxSvmax—入。3.6当花键齿侧配合类别不为H/h时,尺寸表中外花键的尺寸应按下式计算:作用齿厚最大值Svuax=S十esv;
实际齿厚最小值Smin=Symax—(T+入)。式中: esy-
作用齿厚的上偏差,见GB/T3478.1表23;(T+A)——总公差,见GB/T3478.1表8至表21国家技术监督局1995-07-12批准1996-05-01实施
GB/T3478.3--1995
外花键大径和小径的上偏差见GB/T3478.1表24。3.7本尺寸表中外花键渐开线起始圆直径最大值DFemx的数值是按齿条形刀具加工原理推导的公式计算的。
当花键齿侧配合类别不为H/h时,DFemax可根据GB/T3478.1表3中的公式计算。,表137.5°内花键
模数m=0.5
分度圆
基圆直径
12. 297 0
18. 247 1
圆齿根
作用齿槽宽最小值
渐开线终
止圆直径
Drimin
Evmin=0.785
实际齿槽宽最大值
Emax =Evain +(T+^)
.0.891
分度圆
基圆直径
26. 180 7
27. 767 4
28. 164 0
32. 924 2
33. 717 5
36. 890 9
37. 287 6
37. 684 3
圆齿根
GB/T 3478. 3---1995
续表1
渐开线终
止圆直径
Drirnin
实际齿槽宽最大值
Emx =Evmin +(T+a)
分度圆
模数m=0.75
基直径
圆齿根
GB/T 3478. 3--1995
表237.5°内花键
作用齿槽宽最小值
渐开线终
止圆直径
DFimnin下载标准就来标准下载网
Evmin-1.178
实际齿槽宽最大值
Emx-Evmia+(T+a)
分度圆
基圆直径
41,651 1
45. 221 1
46. 411 2
47. 006 2
48. 196 2
54. 741 4
58. 311 5
圆齿根
GB/T 3478.3—1995
续表2
渐开线终
止圆直径
Drimin
实际齿槽宽最大值
Emax=Evmin +(T+a)
分度圆
模数m=1.00
基圆直径
23. 007 2
34. 114 2
42. 047 7
圆齿根
47、40
GB/T 3478.3--1995
表337.5°内花键
作用齿槽宽最小值
渐开线终
止圆直径
DFimin
Evmin 1.571
实际齿槽宽最大值
Emax =Evnain+(T+^)
分度圆
基圆直径
57. 121 4
57. 914 8
66. 641 7
72. 195 2
73. 781 9
76. 161 9
圆齿根
GB/T 3478.3—1995
续表3
渐开线终
止圆直径
Drimin
实际齿槽宽最大值
Emax=Evmin +(T+a)
分度圆
模数 m=1. 25
基圆直径
14. 875 4
24. 792 3
25. 784 0
27. 767 4
28. 759 1
31. 734 1
41. 651 1
圆齿根
GB/T 3478.3--1995
表437.5°内花键
作用齿槽宽最小值
Evmin=1.963
渐开线终
止圆直径
DFimin
实际齿槽宽最大值
Erax =Evrain +(T+^)
分度圆
基圆直径
65. 451 7
69. 418 4
74. 376 9
75. 368 6
81. 318 7
88. 260 6
89. 252 3
圆齿根
GB/T 3478.3—1995
续表4
渐开线终
止圆直径
DFimin
实际齿槽宽最大值
Ernax Evmin +(T+A)
分度圆
模数 m1. 5
基圆直径
15. 470 4
47. 601 2
63. 071 6
GB/T 3478.3--1995
37.5°内花键
作用齿槽宽最小值
Evmin=2.356
渐开线终
止圆直径
DFirnin
实际齿槽宽最大值
Emx=Evmin+(T+a)
分度圆
基圆直径
67. 831 7
70. 211 8
71. 401 8
73. 781 9
76. 161 9
82. 112 1
99. 962 5
101.152 6
105.912 7
107. 102 7
111.862 8
117.813 0
圆齿根
GB/T 3478.3—1995
续表5
渐开线终
止圆直径
DFimin
2、401
实际齿槽宽最大值
Emax=Evnin+(T+A)
小提示:此标准内容仅展示完整标准里的部分截取内容,若需要完整标准请到上方自行免费下载完整标准文档。
标准图片预览:





- 热门标准
- 国家标准(GB)
- GB/T2828.1-2012 计数抽样检验程序 第1部分:按接收质量限(AQL)检索的逐批检验抽样计划
- GB/T18204.4-2000 公共场所毛巾、床上卧具微生物检验方法细菌总数测定
- GB/T23892.3-2009 滑动轴承 稳态条件下流体动压可倾瓦块止推轴承 第3部分:可倾瓦块止推轴承计算的许用值
- GB/T3836.1-2021 爆炸性环境 第1部分:设备 通用要求
- GB/T11839-1989 二氧化铀芯块中硼的测定 姜黄素萃取光度法
- GB/T6122.1-2002 圆角铣刀 第1部分:型式和尺寸
- GB/T7433-1987 对称电缆载波通信系统抗无线电广播和通信干扰的指标
- GB/T21238-2007 玻璃纤维增强塑料夹砂管
- GB17945-2024 消防应急照明和疏散指示系统
- GB/T24974—2010 收费用手动栏杆
- GB/T9239-1988 刚性转子平衡品质 许用不平衡的确定
- GB/T15917.3-1995 金属镝及氧化镝化学分析方法 对氯苯基荧光酮--溴化十六烷基三甲基胺分光光度法测定钽量
- GB/T13985-1992 照相机操作力和强度
- GB/T6397-1986 金属拉伸试验试样
- GB17378.4-2007 海洋监测规范 第4部分:海水分析
- 行业新闻
请牢记:“bzxz.net”即是“标准下载”四个汉字汉语拼音首字母与国际顶级域名“.net”的组合。 ©2025 标准下载网 www.bzxz.net 本站邮件:bzxznet@163.com
网站备案号:湘ICP备2025141790号-2
网站备案号:湘ICP备2025141790号-2