为了解决以太坊每秒交易量 (TPS) 低和Gas费高的问题,涌现出了多个 Layer 1 项目。其中的典型例子包括EOS( 2018 年被誉为“以太坊杀手”)和Solana (SOL)(2021 年凭借其非同质化代币 (NFT) 生态系统吸引了众多用户)。在此背景下,由Meta的 Diem 开发人员创立的 Layer 1 项目 Aptos也崭露头角,并引起了广泛关注。
尤其是 Aptos (APT) 近期备受关注,在整体加密货币市场低迷的情况下上涨了近 10%。
Aptos是什么?今天我们就来了解一下。

Aptos 是一个 Layer 1 区块链项目,其创立的初衷是认识到,区块链要真正成为主流,必须提升 L1 层的安全性和可扩展性。Aptos 的目标是构建最安全、可扩展的区块链,同时通过开放性确保其可信的中立性。
Aptos 最初由 Libra的内核成员发起,可以被视为 DM 的继承者。该团队随后基于 DM 的开源代码开发了 Aptos 公链,并由此成立了 Aptos Labs。Aptos Labs 的名称源于“人民”一词,旨在创建一个安全的环境,让世界各地的人们都能自由访问虚拟资产。
Toss区块链的代码是用Move编写的,Move是一种基于Rust的编程语言。它声称能够每秒处理10000笔交易(TPS),目标是成为比以太坊更快、更便宜的Layer 1协议。

开发者可以使用 Move 编程语言编写自己的智能合约。该语言确保智能合约安全快速地执行。网络执行大量交易,从而实现快速交易处理。这种高交易吞吐量得益于交易的并行处理。
Aptos 也正在拓展人工智能领域。目前,Aptos 与微软合作开发 Aptos Assistant。该助手遵循标准语言模型,旨在解答与 Aptos 区块链相关的问题,并为使用 Move 编程语言的开发者提供支持。
开发团队
该代币由前Meta员工Mo Shaikh和Avery Ching创立。Mo Shaikh是公司现任首席执行官,拥有多年跨国经济服务和区块链/加密货币领域的经验。根据他的LinkedIn个人资料,他擅长产品拓展,并在私募股权和风险投资市场拥有丰富的经验。
另一方面,Ching是Aptos的首席技术官。他是一名软件工程师,曾是Meta的内核软件工程师之一。
这两位曾共同参与 Meta 的区块链项目“Diem”。2022 年 1 月 Diem 项目终止后,Shaikh 和 Ching 决定联手创立“Aptos Labs”。因此,Aptos 采用了 Diem 的部分技术。Aptos 开发团队的其他成员也包括来自 Diem 的研究人员、设计师和工程师。
Aptos (APT) 吸引投资

Aptos (APT) 代币在正式推出前就引起了广泛关注,并成功吸引了大量投资。这主要归功于该项目由 Meta区块链项目 Diem 的开发人员主导。
Aptos 以其估值过高、规模庞大的风险投资而闻名,该公司在 2022 年 3 月以超过 10 亿美元的估值融资 2 亿美元,并在 2022 年 7 月以超过 20 亿美元的估值再次融资 1.5 亿美元。Tiger Global、Multicoin Capital 和 PayPal Ventures 也参与了投资。值得注意的是,这两轮融资主要由现已倒闭的 FTX Venture Capital 领投。此外,币安去年 9 月的后续投资使 Aptos 的 L1 估值超过 40 亿美元。
2022年10月17日,Aptos主网上线。
2024年9月,Aptos从Foresight Ventures和其他机构获得了额外融资,确保了其生态系统持续发展所需的资源。但具体金额并未披露。
Aptos 区块链通过将信息存储为资源来源行,使其安全性更高。
根据白皮书,“为了应对这些挑战,我们推出了 Aptos 区块链,其设计以可扩展性、安全性、稳定性和可升级性为内核原则。Aptos区块链由全球 350 多位开发者历时三年开发而成,在共识机制、智能合约设计、系统安全、性能和去中心化等方面实现了创新。这些技术的结合将为 Web 3 的普及奠定基础。”
1. 移动
Move 是一种基于 Rust 的编程语言。它是一种可执行字节码语言,足够灵活,能够满足 Aptos 开发者的独特需求,同时其全局存储比传统编程语言更加安全。Move 允许用户定义无法复制或销毁的自定义资源,从而增加了恶意实体控制 Aptos 区块链的难度。
2. 拜占庭容错(BFT)

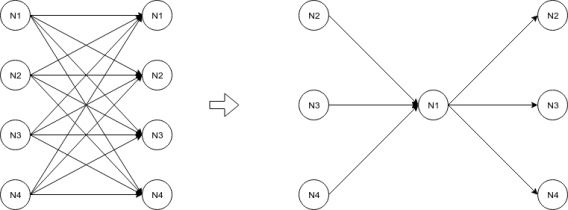
Aptos 可以将这两个进程分离并并行运行,无需强制执行交易顺序的共识协议。这提高了速度,同时降低了延迟(网络交易确认所需的时间)。为了确保准确性,Aptos 构建了一个拜占庭容错 (BFT) 引擎,该引擎会分析链的各种状态,并根据需要自动更新验证者。
DM区块链在测试网期间的初始交易处理速度为每秒6笔交易(TPS),但现在已经提高到每秒10,000笔。具体来说,PoS区块链通过并行执行可以实现超过每秒150,000笔交易的理论交易处理速度。
然而,Aptos 主网上线后,有人指出主网基础设施不稳定,每秒交易量 (TPS) 仅为 4。针对每秒交易量 (TPS) 的担忧,Aptos 开发者 Mo Shaikh 表示:“目前的 TPS 值并不能代表 Aptos 的网络容量。TPS 低是因为项目上线前网络处于闲置状态。TPS 值预计会随着网络活动的增加而提高。”
自主网上线以来,Aptos 一直在扶持包括 DeFi(去中心化经济)、NFT 和游戏在内的各个领域的项目,并迅速提升其生态系统的 TVL(总锁定价值)。以下简要概述了迄今为止已发布的基于 Aptos 网络的 dApp。
去中心化经济(DeFi)
Thala(탈라):领先的一体化 DeFi 中心,也是 Aptos 生态系统中 TVL 排名第一的项目。它提供广泛的功能,包括其自身的稳定币、兑换和流动性质押。Hyperion:一个高性能的去中心化交易所 (DEX) 项目,它利用 Move 语言的优势提供交易基础设施。Echo Protocol:一个通过提供比特币流动性和流动性质押服务来提高生态系统内资产利用率的项目。Aave(에이브):Aave 是主要 EVM 链上的领先借款协议,正在 Aptos 主网上重新实施 V3,以增强 DeFi 基础设施的可靠性。
NFT和市场
Topaz(토파즈):一个基于 Aptos 的领先 NFT 市场,支持各种收藏品的交易。
钱袋和基础设施
Petra 钱袋:由 Aptos Labs 开发的官方钱袋,支持与 Aptos 生态系统 dApp 的便捷集成。Fewcha(푸차):一款用户友好的移动钱袋解决方案。Pontem Network(포튼 원іг네트워크):一个提供基于 Move 语言的开发工具和基础设施的项目,充当桥梁。
企业和RWA(实物资产)
BUIDL(贝莱德基金):贝莱德的代币化基金已集成到 Aptos 中,为机构投资者和加密货币投资者提供全天候流动性的代币化资产。

APT是Aptos区块链的原生代币。APT代币在Aptos生态系统中扮演着以下关键角色:
支付交易手续费:
它用于支付 Aptos 区块链上发生的所有交易的费用(Gas 费)。
质押与验证:
APT 持有者可以质押他们的代币并将其委托给网络验证者。验证者根据其质押的代币数量获得相应的投票权重,参与区块链共识过程,并获得相应的奖励。
参与治理:
APT 代币持有者有权参与 Aptos 网络治理,通过提议和投票表决 Aptos 网络内的重要决策,例如协议升级、参数更改等。

APT代币的初始总供应量为10亿枚,分配方式如下:
社区:51.02%,510,217,359.767(5.1亿)内核贡献者:19.00%,190,000,000,000(1.9亿)Aptos基金会:16.50%,165,000,000,000(1.65亿)投资者:13.48%,134,782,640.233(1.34亿)个单位
社区的 410,217,359.767 (4.1 亿) APT 由 Aptos 基金会持有,剩余的 100,000,000 (1 亿) APT 由 Aptos Labs 持有。
社区分配资金的约 80% 由 Aptos 基金会持有,剩余部分由 Aptos Labs 持有。这笔资金用于支持社区发展和 Aptos 基金会的各项举措,剩余资金将在未来十年内按月解锁。
投资者和内核贡献者将受到为期四年的代币解锁计划的限制,该计划从主网上线开始。Aptos 团队于 2022 年 10 月 19 日宣布向早期测试网用户空投 2000 万枚 APT 代币。
根据BTCC交易所的数据,APT币目前交易价格为4.8165美元,较前24小时上涨1.01%。其当前市值为31亿美元,排名第36位。

APT价格
过去24小时内,Aptos价格大幅下跌,交易量却增长超过70%。这表明许多投资者正在抛售。全球加密货币市场也下跌了3.77%,Aptos似乎也跟随了整体市场的下跌趋势。
尤其值得注意的是 11 月 3 日加密货币市场崩盘的消息,当时比特币 (BTC) 和以太坊 (ETH) 等主要加密货币暴跌,导致超过 11 亿美元的资产被清算。
技术分析
技术指标显示,Aptos 的股价低于其关键移动平均线(7 日均线 3.25 美元,30 日均线 3.69 美元),发出看跌信号。相对强弱指数 (RSI) 接近超卖区域 30.68,表明部分投资者出现恐慌性抛售。此外,4.31 美元附近的斐波那契回撤位构成阻力,阻止股价进一步上涨,并可能进一步下跌。
Aptos 自推出以来就一直受到批评,怀疑者担心它可能会损害其创建者的声誉,这些创建者曾为一家名为 的跨国公司工作。
Aptos 的 Discord 拥有超过 63,000 名用户,其中包括约 8,000 名开发者,并且该协议由超过 20,000 个节点支持,这表明 Aptos 创始人的声誉和经验吸引了新的开发者。
Aptos主网的成功上线表明了该公司致力于开发商业解决方案的决心。围绕Aptos也涌现出了一个充满活力的开发者和构建者社区,他们渴望利用该平台的各项功能。
Aptos升级计划
在9日举行的“2023 Xangle区块链周”活动上,Aptos团队表示:“与现有区块链相比,Aptos改进了数据结构和稳定性”,并且“我们将解决现有区块链技术的问题,实现区块链的普及”。
Aptos 还指出了现有区块链项目的升级结构,并透露了定期升级计划。
Aptos 产品开发团队负责人 Sherry Xiao 表示:“与区块链项目不同,传统软件的服务升级周期很短。”她补充道:“与现有的区块链项目相比,Aptos 将缩短升级周期,并通过每月一次的主网升级来改进系统。”
Aptos 还宣布,今年将专注于韩国市场和非同质化代币 (NFT) 生态系统。
下面以币安为例,为大家演示APT币购买步骤教程。
1、注册
点击官网注册:
官方安卓版APP下载:
2、注册完成之后,下面打开币安app,点击【行情】上方的搜索框;

3、输入【APT】,这时下拉会显示【现货】【APT/ USDT】,点击【APT/ USDT】。(作为新手,不建议做合约,所以这里就不演示合约购买方式了。)

4、等待合适的价格,点击【买入】

5、依次选择【限价单】-购买【价格】-购买【数量】-【成交数量】,设置好之后,点击【买入APT】。

这样就完成了购买APT的步骤!
到此这篇关于什么是Aptos(APT)币?APT工作原理、代币经济学及未来发展的文章就介绍到这了,更多相关APT币全面介绍内容请搜索本站以前的文章或继续浏览下面的相关文章,希望大家以后多多支持本站!
\u4e0b\u5468\u5b8f\u89c2\u5c55\u671b\uff1a\u7f8e\u8054\u50a8\u5b9a\u8c03\u4e4b\u5468\uff01\u7f8e\u8054\u50a8\u9762\u4e34\u300c\u7ec8\u6781\u644a\u724c\u300d
\u7279\u6717\u666e\uff1a\u80a1\u7968\u548c401k\u8ba1\u5212\u8fbe\u5230\u4e86\u5386\u53f2\u65b0\u9ad8\uff0c\u901a\u8d27\u81a8\u80c0\u3001\u7269\u4ef7\u548c\u7a0e
\u7279\u6717\u666e\uff1a\u80a1\u7968\u548c401k\u8ba1\u5212\u8fbe\u5230\u4e86\u5386\u53f2\u65b0\u9ad8\uff0c\u901a\u8d27\u81a8\u80c0\u3001\u7269\u4ef7\u548c\u7a0e
\u5206\u6790\u5e08\uff1a\u6bd4\u7279\u5e01\u77ed\u671f\u5df2\u7b51\u5e95\uff0c10\u4e07\u7f8e\u5143\u53cd\u5f39\u884c\u60c5\u6216\u5c06\u51fa\u73b0
\u82e5\u4ee5\u592a\u574a\u7a81\u78343100\u7f8e\u5143\uff0c\u4e3b\u6d41CEX\u7d2f\u8ba1\u7a7a\u5355\u6e05\u7b97\u5f3a\u5ea6\u5c06\u8fbe9.05\u4ebf
\u6570\u636e\u4e2d\u5fc3\u8fc7\u70ed\u81f4\u829d\u5546\u6240\u4e2d\u65ad\u4ea4\u6613\u8d8510\u5c0f\u65f6\uff0c\u5907\u7528\u6570\u636e\u4e2d\u5fc3\u672a\u542f\u
\u6570\u636e\u4e2d\u5fc3\u8fc7\u70ed\u81f4\u829d\u5546\u6240\u4e2d\u65ad\u4ea4\u6613\u8d8510\u5c0f\u65f6\uff0c\u5907\u7528\u6570\u636e\u4e2d\u5fc3\u672a\u542f\u
\u6570\u636e\u4e2d\u5fc3\u8fc7\u70ed\u81f4\u829d\u5546\u6240\u4e2d\u65ad\u4ea4\u6613\u8d8510\u5c0f\u65f6\uff0c\u5907\u7528\u6570\u636e\u4e2d\u5fc3\u672a\u542f\u
CopyRight 2025 www.bzxz.net All Rights Reserved 湘ICP备2025141790号-2
本网站所展示的内容均由用户自行上传发布,本站仅提供信息存储服务。若您认为其中内容侵犯了您的合法权益,请及时联系我们处理,我们将在核实后尽快删除相关内容。