- 您的位置:
- 标准下载网 >>
- 标准分类 >>
- 船舶行业标准(CB) >>
- CB* 3218-1984 货、油舱直梯
标准号:
CB* 3218-1984
标准名称:
货、油舱直梯
标准类别:
船舶行业标准(CB)
英文名称:
cargo and oil tank ladder标准状态:
现行-
发布日期:
1984-10-15 -
实施日期:
1986-01-01 出版语种:
简体中文下载格式:
.rar.pdf下载大小:
1.62 MB
替代情况:
CB 281-77,CB 635-67

部分标准内容:
全国船舶标准化技术委员会专业标准CB*3218-84
货、油舱直梯
1984-10-15发布
1986-01-01实施
全国船舶标准化技术委员会专业标准货、油舱直梯
直梯类型如表1。
油舱直梯
角钢货舱直梯
球扁钢货舱直梯
梯架材料规格
L100×80×10
L80×50×8
厂140×35×9
全国船舶标准化技术委员会1984-10-15发布梯宽B
300,400
300,400
CB*3218—84
组别:26
代替CB281-77
CB635—67
梯长L
1200~6000
1200~6000
2100~6000
1986-01-01实施
CB*321884
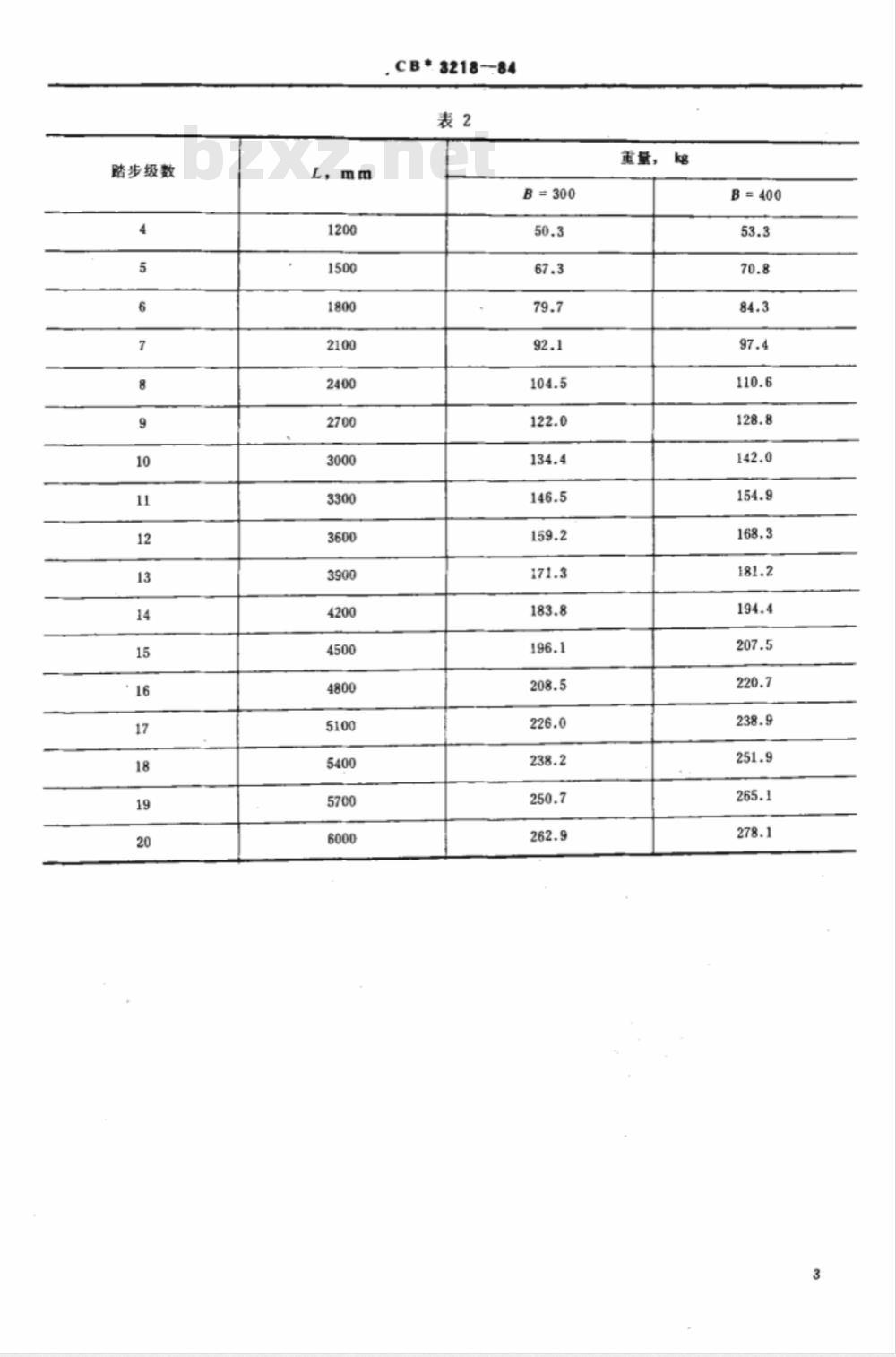
2A型真梯主要尺寸及结构型式按图1和表2。标志处
(9)0
1一梯架;2踏步,3—眼板;4一扶手600
踏步级数
L,mm
.CB* 3218--84
B= 300
策量,
B= 400
CB*3218—84
3B型直梯主要尺寸及结构形式按图2和表3。*9
B视向
1一梯架;2-踏步;3一眼板;4一螺栓;5-螺母;6-垫圈;踏步级数
L,mm
CB* 3218—84
重量,kg
B= 400
CB*3218-84
C型直梯主要尺寸及结构形式按图3和表4。标志处
1-梯架;2一踏步;3一眼板;
B视向
4-螺栓;5一螺母;6一垫圈;
踏步级数
标记示例
CB*3218—84
长度为1500mm、宽度为400mm的油舱直梯:油舱直梯A1500×400
CB*3218-84
长度为5400mm的球扁钢货舱直梯:货舱直梯C5400CB*3218-84
技术要求
货油舱直梯应符合本标准要求。6.1bzxZ.net
重量,
6.2货油舱直梯主要零件:踏步、扶手、螺栓、眼板和A、B型梯架的材料采用普通碳素钢A3(GB700-79),C型梯架采用2C(GB712—80)。6.3
货舱直梯制成后须镀锌,镀层厚度不少于25μm,也可以除锈涂漆,油舱直梯制成后用清油防货油舱直梯零件表面应光洁,装配后不应有歪斜、扭曲变形及其他缺陷。L>2500mm时中间约等距位置加装一个眼板固定。货油舱直梯应由制造厂技术检查部门验收,并出具合格证书。在每部货油舱直梯的明显处,应打上下列标志:a.
产品型号或标准号;
生产年月;
检验合格印章。
CB*3218—84
附加说明:
本标准由舱面属具组提出,由沪东造船厂归口。本标准由广州造船厂负责起草。本标准主要起草人刘武英。
油舱直梯CB281—77首次发布于1964年。货舱直梯CB635—67,首次发布于1967年11月28日。
小提示:此标准内容仅展示完整标准里的部分截取内容,若需要完整标准请到上方自行免费下载完整标准文档。
货、油舱直梯
1984-10-15发布
1986-01-01实施
全国船舶标准化技术委员会专业标准货、油舱直梯
直梯类型如表1。
油舱直梯
角钢货舱直梯
球扁钢货舱直梯
梯架材料规格
L100×80×10
L80×50×8
厂140×35×9
全国船舶标准化技术委员会1984-10-15发布梯宽B
300,400
300,400
CB*3218—84
组别:26
代替CB281-77
CB635—67
梯长L
1200~6000
1200~6000
2100~6000
1986-01-01实施
CB*321884
2A型真梯主要尺寸及结构型式按图1和表2。标志处
(9)0
1一梯架;2踏步,3—眼板;4一扶手600
踏步级数
L,mm
.CB* 3218--84
B= 300
策量,
B= 400
CB*3218—84
3B型直梯主要尺寸及结构形式按图2和表3。*9
B视向
1一梯架;2-踏步;3一眼板;4一螺栓;5-螺母;6-垫圈;踏步级数
L,mm
CB* 3218—84
重量,kg
B= 400
CB*3218-84
C型直梯主要尺寸及结构形式按图3和表4。标志处
1-梯架;2一踏步;3一眼板;
B视向
4-螺栓;5一螺母;6一垫圈;
踏步级数
标记示例
CB*3218—84
长度为1500mm、宽度为400mm的油舱直梯:油舱直梯A1500×400
CB*3218-84
长度为5400mm的球扁钢货舱直梯:货舱直梯C5400CB*3218-84
技术要求
货油舱直梯应符合本标准要求。6.1bzxZ.net
重量,
6.2货油舱直梯主要零件:踏步、扶手、螺栓、眼板和A、B型梯架的材料采用普通碳素钢A3(GB700-79),C型梯架采用2C(GB712—80)。6.3
货舱直梯制成后须镀锌,镀层厚度不少于25μm,也可以除锈涂漆,油舱直梯制成后用清油防货油舱直梯零件表面应光洁,装配后不应有歪斜、扭曲变形及其他缺陷。L>2500mm时中间约等距位置加装一个眼板固定。货油舱直梯应由制造厂技术检查部门验收,并出具合格证书。在每部货油舱直梯的明显处,应打上下列标志:a.
产品型号或标准号;
生产年月;
检验合格印章。
CB*3218—84
附加说明:
本标准由舱面属具组提出,由沪东造船厂归口。本标准由广州造船厂负责起草。本标准主要起草人刘武英。
油舱直梯CB281—77首次发布于1964年。货舱直梯CB635—67,首次发布于1967年11月28日。
小提示:此标准内容仅展示完整标准里的部分截取内容,若需要完整标准请到上方自行免费下载完整标准文档。

标准图片预览:





- 其它标准
- 上一篇: CB* 3217-1984 钢质隔音阻气门
- 下一篇: CB* 3219-1984 液压升降窗
- 热门标准
- 船舶行业标准(CB)
- CB1314-98 鱼雷停车阀规范
- CB/T3764-1996 金属镀层和化学覆盖层厚度系列及质量要求
- CB1387-2007 舰船建造关键工序质量控制要求
- CB/Z214-85 舰艇柴油机轴系扭转振动计算
- CB/T3835-1999 船用高压横梁顶杆式叶片马达
- CB/Z303-78 长江客货船船模系列试验图谱
- CB3495.2-92 船舶工业档案管理规则
- CB/T4035-2005 J类软管接头
- CB/T4153-2011 船舶无甲板纵向下水强度计算
- CB/T3683-1995 船用曲轴连杆径向柱塞液压马达修理技术要求
- CB/T3905.7-2005 锡基轴承合金化学分析方法第7部分:丁二酮肟光度法测定镍量
- CB203-2002 高压螺纹接头通舱管件规范
- CB457-1994 油舱防火透气头
- CB3412-1992 10A船用插头插座
- CB3495.3-1992 船舶工业档案管理规则 设备仪器
- 行业新闻
请牢记:“bzxz.net”即是“标准下载”四个汉字汉语拼音首字母与国际顶级域名“.net”的组合。 ©2009 标准下载网 www.bzxz.net 本站邮件:bzxznet@163.com
网站备案号:湘ICP备2023016450号-1
网站备案号:湘ICP备2023016450号-1