- 您的位置:
- 标准下载网 >>
- 标准分类 >>
- 广播电影电视行业标准(GY) >>
- GYJ 40-1989 卫星电视地球接收站验收调试规范
标准号:
GYJ 40-1989
标准名称:
卫星电视地球接收站验收调试规范
标准类别:
广播电影电视行业标准(GY)
标准状态:
现行出版语种:
简体中文下载格式:
.zip .pdf下载大小:
157.75 KB
点击下载
标准简介:
GYJ 40-1989.
第一章总则
第1.0.1条本规范适用于 省、市(地)和县级卫星电视地球接收站的卫星电视接收设备的验收调试。乡、镇、厂、矿等集体接收的接收设备的验收调试,可参照此规范进行。
第1.0.2 条验收调试项目主要包括:设备配套的检查、安装质量的检验、系统指标验收以及有关技术文件验收等。
第1.0.3条调试以实收卫星传输的电视信号进行。调试时作详细记录。
第1.0.4条验收测试的性能指标,依据《卫星电视地球接收站通用技术条件》GB1 1442-89中有关款项。
第1.0.5 条验收调试工作,在设备生产厂或承包安装单位,按合同或协议将所有卫星接收设备安装完毕后进行。
第1.0.6条验收调试工作由设备生产厂或承包安装单位和接收站,共同组成验收小组进行,必要时,接收站的上一级管理部门可派人参加验收小组。
第1.0.7 条系统验收调试后, 运行一年内,如果出现异常,由接收站提交使用情况报告,生产厂或承包安装单位应负责调试和修理,或按双方原订协议执行。
第二章系统设备的检查
第一节接收系统组成
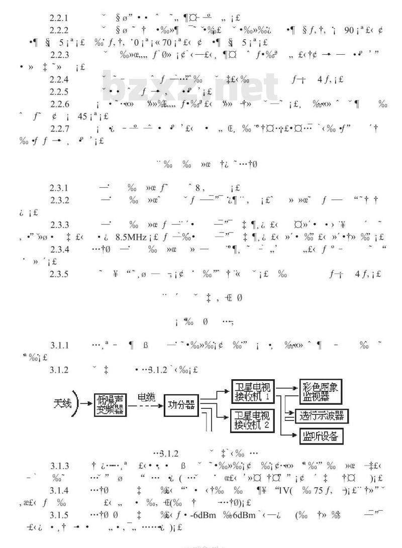
第2.1.1条接收系统 包括接收天线、低噪声变频器(LNB)、中频电缆、功率分配器以及卫星接收机等。
第2.1.2条接收站设备配备数量, 根据本站等级,按《卫星 电视地面接收站设 备配备标准》GYJ37-88 配置。
第2.1.3条功率分配器, 根据需要配用1:4型或1:2型。
第2.1.4条在室外最低温 度低于-30 °C的地区,对低噪声变频器(LNB )应酌情加设局部保温措施。
第2.1.5条室外 单元和室内单元的连接电缆- -般 不应超过30m。如需要超过30m时,可采用低损耗电缆或加用1GHz宽带放大器。
部分标准内容:
GYJ40i“89
-f”a
e\f”a
”1990~3
....toie +
E- %—+f
Q ett
%。>ce
E·GYJ37-88
t\。'it
?》f,”
·%—+
¥》”%
\<》→ 0%,
《.%>\→
(LNB)id-
1:2—i
E%,~0
\id,f\
(LNB) f - 0...
》a+》f<,30mif—<,30mf
s 5iaif
S0 ~ + .%>T
·%0》%0wwW.bzxz.Net
%f.t,0iai70iafg.s5iaif
%o>e,\,f 0 i&<-f<,α
45iaif
》‘it
,af f %
)%E,, f.% f<
8.5MHzif f
. s f,t,90iaf
.0,”
<》.%》·%
.%》%oid
3.1.2%i f
功分器
%, E(%+
卫星电视
接收机
卫星电视
接机2
彩色图象
蓝视器
选行示波器
监听设备
~.%%oi g%i g.<)
ef'>α tα ”i
<+%。%。
%
%75 f,
: EI %—+
3(→
.%α“”
tα'>α tq\
o\+oi&”
oid. α }\”
-3.2.3)i.
“%,
if”i5,g..
”f”
%—+t
“-》?f\.%
“>)>e(
+ E-” %?..
》ce(》
%of…
T2 f<(T2-Ti)dB
%…3.3.2if+
… f<\Tr=4dB f<
“IND
(1GH-)
接收机1
彩色监视器
>,+if
(B 3.1.2) ~i— +α :- it 17i@18ig330i@331,\%, t if, .3.3.3 ai&bi&cidifi2T BAR PULSE
MODULATED
151617
·oll:700mvp-p420mvp-p
=”a tα\)
HTYKAONYKAca
140myp
% >0e %
2TPULSE
420myp-p
,220V
。-(C/N)i针
if +(C/N)f.
.%α“”
.3.3.5 it%o
,f\ t f,,
at C/Nif
.%Q'f.
10%f<,+ %
B E-\TZ“AGC
》if%,?.
T \”%
\T2ifTi°T2
..3.12
+i·%i
30dB)f<%
f...+,.... f.
低最声
et $ —
GB11442-89 》
...t0~i
,,{@·%
%. s\ >e,\
功分器
¥》%%
,fB”
标准带宽
接惊机
可变衰减器
功率计
E-\ f E,
- 4.0.1-1
...+0%E..B
- 4.0.1-2
HTYKAONYKAca
qig...to 0
C/N(dB)
Ofte,%e.\,f
-4.0.11“1
4.0.1i“4if
·B”E..
,%··1
..↓ E ·%
·j·GB11442“89
~·%%(
= aretg ga
cosβ-0.1513
e=arctg
- 4.0.1-4
·B”
·%》%\”
》B\~
.4,%
α f·B\YT
,a,《%”
G%2i“1)
>'..%a ~1* f<% a
(, %2i“2)
(cosβ=cospcos)it
-¥》”
-¥》”\+
“t\\
“+\\B
HTIKAONYKACa-
s—,0
小提示:此标准内容仅展示完整标准里的部分截取内容,若需要完整标准请到上方自行免费下载完整标准文档。
标准图片预览:





- 其它标准
- 上一篇: GA 133-1996 金库门耐火等级及试验方法
- 下一篇: GA 132-1996 材料产烟毒性分级
- 热门标准
- GY广播电视行业标准
- GY/T238.1-2008 地面数字电视广播信号覆盖客观评估和测量方法 第1部分:单点发射室外固定接收
- GY/T250-2011 数字电影流动放映系统用投影机技术要求和测量方法
- GY/T162-2000 高清晰度电视串行接口中作为附属数据信号的24比特数字音频格式
- GD/J081-2018 应急广播安全保护技术规范数字签名
- GY/T333-2020 视音频内容分发数字版权管理有线数字电视数字版权管理系统集成
- GY/T217-2006 有线电视系统用射频同轴连接器技术要求和测量方法
- GY/T269-2013 NGB宽带接入系统C-HPAV 系统技术规范
- JB/T9427.2-2016 电影检验片 第2部分:16mm电影单声道光学声带检验片技术条件
- GY/T139-1999 有线电视系统电视解调器入网技术条件和测量方法
- GY/T140-1999 有线电视系统输出口(5~ 1000MHz)入网技术条件和测量方法
- GY/T242-2010 35mm电影发行拷贝青染料无银模拟声声迹制作技术规范
- GY/T122-1995 有线电视系统调制器入网技术条件和测量方法
- GY/T146-2000 卫星数字电视.上行站通用规范
- GY/T5059-1997 关于批准发布《广播电影电视工程设计图形符号和文字符号标准》的通知
- GY/T144-2000 广播电视SDH干线网管理接口协议规范
- 行业新闻
网站备案号:湘ICP备2025141790号-2