- 您的位置:
- 标准下载网 >>
- 标准分类 >>
- 轻工行业标准(QB) >>
- QB/T 2449-1999 钟表宝石元件尺寸系列
标准号:
QB/T 2449-1999
标准名称:
钟表宝石元件尺寸系列
标准类别:
轻工行业标准(QB)
标准状态:
现行出版语种:
简体中文下载格式:
.zip .pdf下载大小:
8.84 MB
点击下载
标准简介:
QB/T 2449-1999.
1范围
QB/T 2449规定了钟表宝石元件(简称“宝石元件”)的尺寸系列。
QB/T 2449适用于钟、表、秒表用宝石元件的尺寸系列,也可用于仪表及其它用途。
2宝石 元件的尺寸系列
2.1 PZ型平面直孔钻尺寸系列
PZ型平面直孔钻尺寸系列,见表1.
部分标准内容:
分类号Y11
备案索号3783-1999
中华人民共和国轻工行业标准
QB/T2449—99
钟表宝石元件尺寸系列
1999-07-12发布
国家轻工业局
2000-01-01实施
QB/T2449—99
本标准是根据原国家标准GB4050一83《钟表宝石元件尺寸系列》(该标准曾由国轻行[1999]112号文发布转化标准号为QB/T3717-99,内容同前)修订而成的,并调整为行业标准。
这次修订对有关技术内容作了增补。本标准技术内容主要有如下调整:一分类编排及部分品种规格适用范围作了调整;一增补了薄型表、小型表用宝石元件的尺寸系列;一增加了WH型无槽孔钻这一品种的尺寸系列。本标准由国家轻工业局行业管理司提出。本标准由全国钟表标准化中心归口。本标准起草单位:上海关勒铭有限公司。本标准主要起草人:周钱寿、徐年寿、钟慧敏。自本标准实施之日起,QB/T3717一99《钟表宝石元件尺寸系列》废止。范围
中华人民共和国轻工行业标准
钟表宝石元件尺寸系列
QB/T2449--99
代替QB/T3717-99
本标准规定了钟表宝石元件(简称“宝石元件”)的尺寸系列。本标准适用于钟、表、秒表用宝石元件的尺寸系列,也可用于仪表及其它用途。2宝石元件的尺寸系列
2.1PZ型平面直孔钻尺寸系列bzxZ.net
PZ型平面直孔钻尺寸系列,见表1。D
国家轻工业局1999-07-12批准
2000-01-01实施
QB/T2449-99
表1(续)
注:括号尺寸尽量不用。
QB/T2449—99
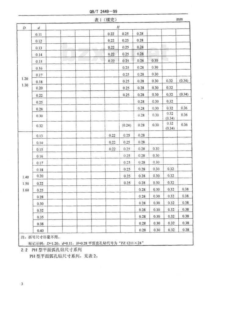
表1(续完)
标记示例:D-1.20,d=0.11,H=0.28平面直孔钻代号为“PZ1211X28\2PH型平面弧孔钻尺寸系列
PH型平面弧孔钻尺寸系列,见表2。3
注:括号尺寸尽量不用。
QB/T2449-99
标记示例:D=1.00,d=0.12,H=0.25的平面弧孔钻代号为“PH1012×25\2.3QH型球面弧孔钻尺寸系列
QH型球面弧孔钻尺寸系列,见表3。表3
注:括号尺寸尽量不用。
QB/T2449-99
表3(续完)
标记示例:D=0.90,d=0.10,H=0.20的球面弧孔钻代号为“QH0910×202.4WZ,WZ(D)型无槽直孔钻尺寸系列WZ,WZ(D)型无槽直孔钻尺寸系列,见表4。表4
注:括号尺寸尽量不用。
QB/T2449-99
表4(续完)
标记示例:D=1.40,d=0.80,H=0.28的无槽直孔钻代号为“WZ1480×28”2.5WH型无槽弧孔钻尺寸系列
WH型无槽弧孔钻尺寸系列,见表5。表5
注:括号尺寸尽量不用。
QB/T2449--99
表5(续完)
标记示例:D-1.40,d-0.80,H=0.28的无槽弧孔钻代号为WH1480×28\2.6QT,QT(F)型球面托钻尺寸系列QT,QT(F)型球面托钻尺寸系列,见表6。表6
注:括号尺寸尽量不用。
标记示例:D=1.20,H=0.28的球面托钻代号为“QT1228”0.28
2.7PT型平面托钻尺寸系列
QB/T2449—99
PT型平面托钻尺寸系列,见表7。表7
注:括号尺寸尽量不用。
标记示例:D=1.20,H=0.36的平面托钻代号为“PT1236\0.32
JW,CW型进、出瓦钻尺寸系列
JW,cW型进、出瓦钻尺寸系列,见表:
(0.25)0.300.32
0.300.320.34
0.320.340.360.38
括号尺寸尽量不用。
0.340.360.38
0.360.380.40
0.380.400.42
0.420.450.48
QB/T2449-99
0.450.480.59
0.480.500.520.55
0.520.550.60
10.700.75
0.700.750.80
0.850.900.95
0.900.951.00
际记示例:b=0.29,H=0.34.=L.10的进钻代号为\W2934×1.10\、出瓦钻代号为“CW2934×1.10\1.10
1.301.401.50
1.201.301.401.50
1.301401.501.60
1.301.401501.60
2.9YD型因盘钉钻尺寸系列
YD型圆盘钉钻尺寸系列,见表9。0.27
0.250.260.28
0.260.280.30
QB/T244999
0.360.380.40
0.380.400.42
10.380.400.420.45
括号尺寸尽量不用。
标记示例:D=0.36,H=0.24.L=0.58的离盘钉钻代号为“YD3624×0.58”S
(0.58))
(0.48)0.500.55(0.58)
(0.58)
(0.48)0.500.55
(0.58)0.60
(0.58)0.600.65
0.650.700.750.80
0.8510.90
0.800.850.901.00
小提示:此标准内容仅展示完整标准里的部分截取内容,若需要完整标准请到上方自行免费下载完整标准文档。
备案索号3783-1999
中华人民共和国轻工行业标准
QB/T2449—99
钟表宝石元件尺寸系列
1999-07-12发布
国家轻工业局
2000-01-01实施
QB/T2449—99
本标准是根据原国家标准GB4050一83《钟表宝石元件尺寸系列》(该标准曾由国轻行[1999]112号文发布转化标准号为QB/T3717-99,内容同前)修订而成的,并调整为行业标准。
这次修订对有关技术内容作了增补。本标准技术内容主要有如下调整:一分类编排及部分品种规格适用范围作了调整;一增补了薄型表、小型表用宝石元件的尺寸系列;一增加了WH型无槽孔钻这一品种的尺寸系列。本标准由国家轻工业局行业管理司提出。本标准由全国钟表标准化中心归口。本标准起草单位:上海关勒铭有限公司。本标准主要起草人:周钱寿、徐年寿、钟慧敏。自本标准实施之日起,QB/T3717一99《钟表宝石元件尺寸系列》废止。范围
中华人民共和国轻工行业标准
钟表宝石元件尺寸系列
QB/T2449--99
代替QB/T3717-99
本标准规定了钟表宝石元件(简称“宝石元件”)的尺寸系列。本标准适用于钟、表、秒表用宝石元件的尺寸系列,也可用于仪表及其它用途。2宝石元件的尺寸系列
2.1PZ型平面直孔钻尺寸系列bzxZ.net
PZ型平面直孔钻尺寸系列,见表1。D
国家轻工业局1999-07-12批准
2000-01-01实施
QB/T2449-99
表1(续)
注:括号尺寸尽量不用。
QB/T2449—99
表1(续完)
标记示例:D-1.20,d=0.11,H=0.28平面直孔钻代号为“PZ1211X28\2PH型平面弧孔钻尺寸系列
PH型平面弧孔钻尺寸系列,见表2。3
注:括号尺寸尽量不用。
QB/T2449-99
标记示例:D=1.00,d=0.12,H=0.25的平面弧孔钻代号为“PH1012×25\2.3QH型球面弧孔钻尺寸系列
QH型球面弧孔钻尺寸系列,见表3。表3
注:括号尺寸尽量不用。
QB/T2449-99
表3(续完)
标记示例:D=0.90,d=0.10,H=0.20的球面弧孔钻代号为“QH0910×202.4WZ,WZ(D)型无槽直孔钻尺寸系列WZ,WZ(D)型无槽直孔钻尺寸系列,见表4。表4
注:括号尺寸尽量不用。
QB/T2449-99
表4(续完)
标记示例:D=1.40,d=0.80,H=0.28的无槽直孔钻代号为“WZ1480×28”2.5WH型无槽弧孔钻尺寸系列
WH型无槽弧孔钻尺寸系列,见表5。表5
注:括号尺寸尽量不用。
QB/T2449--99
表5(续完)
标记示例:D-1.40,d-0.80,H=0.28的无槽弧孔钻代号为WH1480×28\2.6QT,QT(F)型球面托钻尺寸系列QT,QT(F)型球面托钻尺寸系列,见表6。表6
注:括号尺寸尽量不用。
标记示例:D=1.20,H=0.28的球面托钻代号为“QT1228”0.28
2.7PT型平面托钻尺寸系列
QB/T2449—99
PT型平面托钻尺寸系列,见表7。表7
注:括号尺寸尽量不用。
标记示例:D=1.20,H=0.36的平面托钻代号为“PT1236\0.32
JW,CW型进、出瓦钻尺寸系列
JW,cW型进、出瓦钻尺寸系列,见表:
(0.25)0.300.32
0.300.320.34
0.320.340.360.38
括号尺寸尽量不用。
0.340.360.38
0.360.380.40
0.380.400.42
0.420.450.48
QB/T2449-99
0.450.480.59
0.480.500.520.55
0.520.550.60
10.700.75
0.700.750.80
0.850.900.95
0.900.951.00
际记示例:b=0.29,H=0.34.=L.10的进钻代号为\W2934×1.10\、出瓦钻代号为“CW2934×1.10\1.10
1.301.401.50
1.201.301.401.50
1.301401.501.60
1.301.401501.60
2.9YD型因盘钉钻尺寸系列
YD型圆盘钉钻尺寸系列,见表9。0.27
0.250.260.28
0.260.280.30
QB/T244999
0.360.380.40
0.380.400.42
10.380.400.420.45
括号尺寸尽量不用。
标记示例:D=0.36,H=0.24.L=0.58的离盘钉钻代号为“YD3624×0.58”S
(0.58))
(0.48)0.500.55(0.58)
(0.58)
(0.48)0.500.55
(0.58)0.60
(0.58)0.600.65
0.650.700.750.80
0.8510.90
0.800.850.901.00
小提示:此标准内容仅展示完整标准里的部分截取内容,若需要完整标准请到上方自行免费下载完整标准文档。
标准图片预览:





- 热门标准
- QB轻工标准
- QB/T5247-2018 箱包配件塑料插扣耐 用性能试验方法
- QB/T2518—2001 地毯用毛纱
- QB/T2856-2007 毛革服装
- QB/T2425-1998 封箱用再湿性牛皮纸胶粘带
- QB/T1335.1-2012 油画颜料
- QB/T3520-1999 500kV油纸套管绝缘纸
- QB/T2711-2005 皮革 物理和机械试验 撕裂力的测定:双边撕裂
- QB/T1584-2005 日用皮手套
- QB/T1873-2004 鞋面用皮革
- QB/T2192—1996 卷缠绝缘纸
- QB/T1286-1991 羊剪绒毛皮
- QB/T4292-2012 多用组合文具
- QB/T3812.5-1999 皮革 抗张强度和伸长率的测定
- QB/T3712-1999 家用缝纫机卷边压脚
- QB/T2025-1994 平版印铁油墨
- 行业新闻
请牢记:“bzxz.net”即是“标准下载”四个汉字汉语拼音首字母与国际顶级域名“.net”的组合。 ©2025 标准下载网 www.bzxz.net 本站邮件:bzxznet@163.com
网站备案号:湘ICP备2025141790号-2
网站备案号:湘ICP备2025141790号-2