- 您的位置:
- 标准下载网 >>
- 标准分类 >>
- 广播电影电视行业标准(GY) >>
- GY 5053-1994 广播传音电缆线路工程建设技术规范
标准号:
GY 5053-1994
标准名称:
广播传音电缆线路工程建设技术规范
标准类别:
广播电影电视行业标准(GY)
标准状态:
现行出版语种:
简体中文下载格式:
.zip .pdf下载大小:
482.17 KB
点击下载
标准简介:
GY 5053一1994.Technical regulation for sound cable of broadcasting.
1.0.1 为了提高广播传音电缆线路(以下简称线路)工程质量,降低线路工程造价,便利线路的维护,特制定本规范。
1.0.2本规范适用于新建、扩建和改建连接广播电视中心或节目传送台站与发射台的线路工程。
1.0.3线路工程的勘察设计和采取的施工措施必须适应当地的地理环境和自然条件。
1.0.4 建设线路工程时,必须根据事业规划为扩建、改建工程留有适当的余地。扩建、改建线路工程时,应利用原有设备和设施。
1.0.5线路工程所用 的部件和材料,附属设备必须是合格的定型产品。
1.0.6 除执行本规范外,还应执行有关国家行业标准和规范。
1.0.7 在施工过程中、建设或使用单位应对施工工艺和工程质量进行监督和检查,适时地做好随工验收工作。
1.0.8 线路工程具备交工验收条件后、应组织有关单位,按本规范的规定进行竣工验收。
2线路路由选择和勘察
2.1线路路由方案的选择
2.1.1根据广播电视中心或节目传送台站和发射台的地理位置,在所在地区的地图和地形图上初选几种线路路由的方案。
2.1.2选 择线路路由应满足下列条件:
(1 )根据地形、地貌和该地区的建设规划,经济合理地选择路由,力求短捷平直;
(2 )线路路由应选择在地质稳固、地形平坦、土方工程较少的地区;
(3)直埋电缆应选择在避开路旁设施,沿靠公路、道路距路边约30m的地段。
2.1.3 线路路由应尽可能避免下列情况:
(1 )穿越河流、湖泊、沼泽和排涝蓄洪等地区;
(2)靠近易发生洪水、雪崩、滑坡和泥石流等自然灾害的地区;
(3 )翻山越岭、爬越陡峭沟坡;
部分标准内容:
regulation
GY5053i“94
cableof broadcasting
forsound
一%e*%,~%Q<%,a+
f<,,f
(1), g
(1):%
”,》
.\igfo
一》 % 《,
“\%Re,~% +
2%—·%+0
- .~ 1%e,
ia”?
~%,》
“·%#%
e\o,ie
(3)~)%% id
%,,,
(4) : %
igiigtid.\
(5) : % ig,B
(6) : % %,
(8) : %% ce
ig,《ie
f f % %
+i,of)
,%。
,%%。0~
-,%—0 ”
%,,
,%%.& ce~
(4),≤jg
(6)·ie
\f~O》
f》 %00%0,”..
\f ~O if
i<》f
2.3.2吃+
·%,
iet,
(4) α
,》)
ie B ie%+
+··i&%%.bZxz.net
>-%”
.%%~ i
FTYKAONYKACa
.%,“》
\·》
”(,
”(,
~+·id\
30cm)
“30i《50cm)
“50cm
(,f→
(,f
%α”
0.3MPa)
%oe'·-f,
%o,,:+》
f·B”
“0.3i《0.8MPa)
.idtoig.ti
ef”13ig14id15
·35.3.2.1-3
·E,
.t,\f
fB”-3.2.3,
”·艺
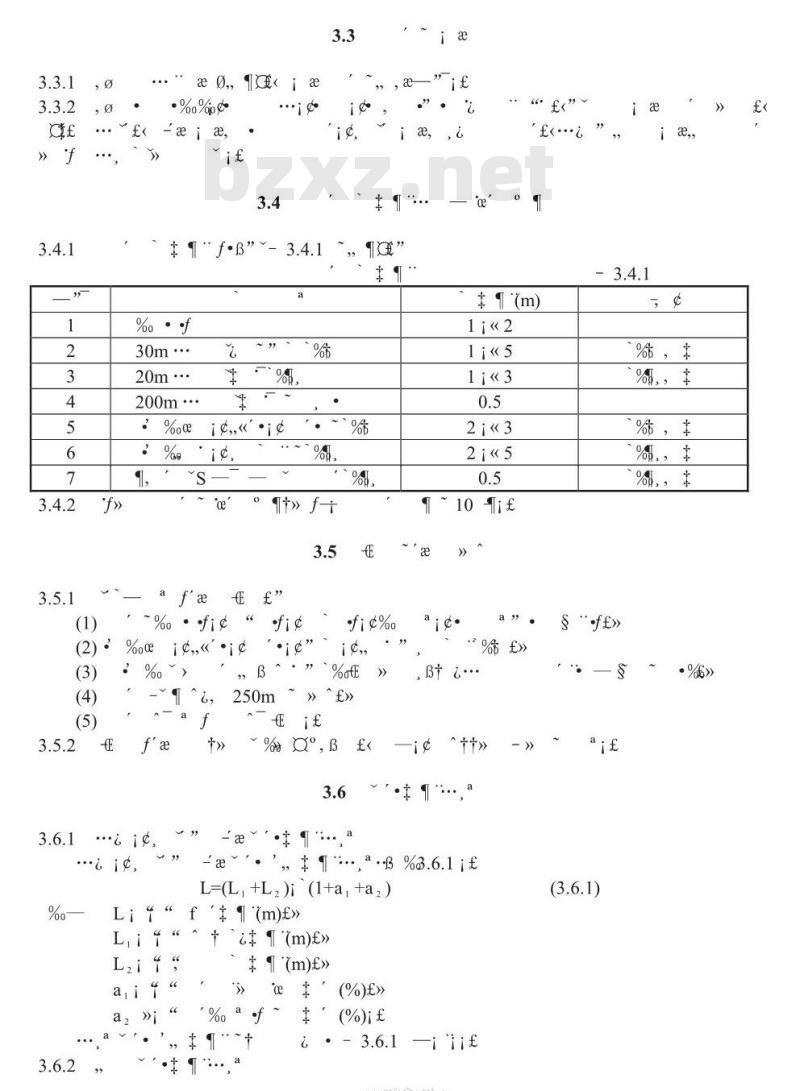
+ 1\f·B”~- 3.4.1 ~,{\
:%oce
ie,《'ie
id,《e
% α°,B
1i《2
1i《5
1i《3
, +1...,a.B %3.6.1it
L=(L, +L2)i (1+a, +a,)
Li““f\|'(m)f)
+ '(m)f)
*1'(m)f
.- 3.6.1 —i\if
FTYKAONYKAC
%,丰
%,,
%,丰
%,,
%,,+
±.a.B3.6.2if
L=L,+L,+L,'i\N
%-”Li“(m)
L,'“
Ni'“\i
* 1(m)
%o (m)
,+\++
ce~%o+
\~%·
¥ra.B %3.7.1
b=f' L+201g,
bi \ “.,\(dB))
f'i“
+bSH+bB
(dB/km)f>)
Li'“
~ '(km)>)
bSHi ‘ \{Q?\
bBi“
,(f,))
,(f,)》
,¥\(bB=1dB)i f
1i《1.5%
1i《2%
2i《3.5m
0.3i《0.5m
1i《1.5m
+). . +·B - 3.9.1
f'(dB/km)
·3-3.9.2
=0.9(mm)
··,%
Ls=12mH
f 1.2(mm)
f(dB/km)
= f =0.9(mm)
Ls=70mH
fc=12600Hz
f(dB/Km)
'fz'f(f,)
HTYKAONYKACa
f'(dB/Km)
fc=5850Hz
'fz'f(f,)
,a《
(Mf,fkm)
(f, /km)
(ff/km)
, fB”~-3.10.1~,
110000
”,B”-3.10.2~,,
”,4km
0.06i≤0.08
0.061<0.08
0.081《0.12
0,f·B”-3.10.3~Q
%~+> α
。-(dB)
%~》α°
%~ ... α°
-E f·B\”-
0.00393/i》》,a
%(MPa)
50i8000Hz
1000Hz
01000Hz+17dB
“OdB
1000Hz
·%。
+》(:
·—%
,Ef·B”-3.10.5~,Q
f (f,im)f
ie,w'ie
,fte
·%”
100
.\ if.
,t,
“Imit
”fi》.
<% f% -
*:\ 3i《4m,,{++
e,f<% e,,,Iα ~,,
%》if
fte,o%B4 \f
.- 4.2.1.1,αif
TYKAONYKAca
5.5i≤6.5
->e(%)
1.0 i≤1.5
+ .- 4.2.1.2 , α .if
,f》
(mg/L)
20≤40
(f,i m)
6.5 i≤7.4
,E,g。
0.001i≤0.0001
14i《9
(mg/L)
10i≤20
4 1\- 4.2.1.3 ~, @ .if
23i《50
.- 4.2.1.4 ~, @ .9if
>6.5 i≤8.5
6.0i≤6.5
4.2.1.5~q
-0.551≤0.90
-0.20 i《-0.60
-0.42《-0.80
-0.87 i <-1.22
-0.52 i≤0.92
-0.74i《-1.22
(3) ~,
.》。
(4) %。….
(5)<》,
,%ot
。'if
,igB
(2)%》
%;”《i&
4.2.1.6 ~\ @f
(mA/cm2)
,t.》ta>
%·f%,
’”》
HTYKAONYKAca
“·<%of)
+e%,
100 f,im
%~ %。
+》·
《》·
(4)1,
(4),
100f,i
500f,i
ie\f ie\
%,,,
%,{”
45 ia f<% %a, %%+>
%》f·
-96dBif
e 3%i《5%·
100f,im
500f,im
<% %~%
(1),\
(2)\α
(3)\ αf,^%
(4)“
(5)\ t0':
,%%》·
,,中
王,,
-》》
5.12B, %,B
(1),~_\. > a 2km
”·%
..t%α
”¥》《
2),~- 1\.
± -%~%, %
5.1.3 ,0 , + \α~
, Qe+~*B, %oBif
(1)\ to ¥
(3)\ ¥
(7) ¥
~%,》i
¥》fa
iie,,a”
?》《
e\·%,,if
α>f\α',·%@f\,,α-
AiB,ft
-0.1 i≤0.15Mpa
,?\+》
(1) i %, :
%·α-
·AiBl..+-.
- 3.10.1 ~ [>
95dBif
TTKAONYKACa-
, 3 i≤ 4km· S
小提示:此标准内容仅展示完整标准里的部分截取内容,若需要完整标准请到上方自行免费下载完整标准文档。
标准图片预览:





- 其它标准
- 热门标准
- GY广播电视行业标准
- GY/T202.2-2016 广播电视音像资料编目规范 第2部分:音频资料
- GD/J106-2020 光纤配线架技术要求和测量方法
- GY/Z199-2004 广播电视节目资料分类法
- GY/T250-2011 数字电影流动放映系统用投影机技术要求和测量方法
- GY/T342-2021 互联网电视总体技术要求
- GY/T158-2000 演播室数字音频信号接口
- GY5067-2003 广播电视建筑设计防火规范
- GY5066-2000 电影摄影棚灯光系统设计规范
- GY/T204-2004 有线电视用户服务规范
- GY/T205-2005 广播实况转播节目传输通路技术规范
- GY5078-2008 有线电视分配网络工程安全技术规范(附条文说明)
- GY24-1984 省辖市级广播电视中心建设规范
- GY5060-1995 广播电影电视建筑抗震设防分类标准
- GY/T100-1990 密纹唱片
- GY/Z203-2004 数字电视广播电子节目指南规范
- 行业新闻
网站备案号:湘ICP备2025141790号-2